НОВОСТИ    БИБЛИОТЕКА    ССЫЛКИ
КРАТКИЙ ПСИХОЛОГИЧЕСКИЙ СЛОВАРЬ РАЗДЕЛЫ ПСИХОЛОГИИ
КАРТА САЙТА    О САЙТЕ


предыдущая главасодержаниеследующая глава

§ 4. Когнитивная и эмотивная самооценка базальных эмоций

Исследовались больные с локальными поражениями головного мозга (50 человек - 26 женщин, 24 мужчины, средний возраст - 38 лет), а именно: больные с поражением диэнцефальной области мозга (30 человек), с поражением лобных долей мозга (10 человек) и с поражениями, располагающимися в области задней черепной ямки (10 человек). Все больные были в удовлетворительном общем состоянии, ориентированы в окружающем, в целом адекватны и способны выполнять предложенные задания.

Больные с поражением диэнцефальной области мозга

В группе больных с поражением диэнцефальных отделов мозга у 18 человек была диашосцирована опухоль гипофиза (аденома) супра и эндо-селлярного расположения; у 9 - имелись различного характера опухоли III желудочка (передних отделов, дна, иногда с распространением в орбитальную область), у 3 - были обширные внемозговые опухоли базально-диэнцефальных отделов мозга (краниофарингиомы). Больные были адекватны, правильно ориентированы в окружающем. Помимо неврологических симптомов, указывающих на поражение диэнцефальной области мозга (нарушения обмена, вегетативные симптомы и др.), у больных отмечалось общее снижение активности, колебания внимания, легкая импульсивность в интеллектуальной сфере. Имелись также свойственные этому синдрому нарушения памяти, которые носили модально-неспецифический характер, проявляясь прежде всего в нарушении воспроизведения любых по модальности следов в условиях интерференции (особенно гомогенной). Каких-либо нарушений эмоционально-личностной сферы при обычном нейропсихологическом обследовании не наблюдалось.

Когнитивная самооценка. Наибольшие значения по частоте получили эмоции "радость" и "удовольствие" (они распределились на шкале "часто" и "иногда"). Реже больные испытывают эмоцию "печаль" (ее они относят к шкале "иногда") и еще реже - "страх" и "гнев" (их они помещают на шкале "редко").

На континууме эмоций это распределение можно изобразить следующим образом:


Эмотивная самооценка. При выполнении процедуры, предусмотренной методикой семантического дифференциала, больные при оценивании 5 эмоций по 12 шкалам дали следующие результаты:

По фактору Е (оценка) самой неприятной (хотя в меньшей мере, чем в норме) оказалась эмоция "страха", далее следуют эмоции "гнева" и "печали", которые опять-таки оцениваются как менее неприятные, чем их оценивают здоровые испытуемые. Самой приятной эмоцией оказалось "удовольствие".

Соответственно континуум эмоций по их "приятности" выгля-дит следующим образом:


По фактору Р (сила) печаль получила то же самое значение, что и у здоровых испытуемых. Эмоции удовольствия, страха, гнева оценивались по сравнению с нормой ниже.

Соответственно по шкале "сила" эмоции раполагались следующим образом:


По фактору А (активность) все полученные значения очень близки друг к другу. Иными словами, больные не смогли дать четких различий между эмоциями по этому фактору:


Следует отметить, что "гнев", в отличие от нормы, получил по данному фактору у большинства больных низкие значения.

Больные с поражением в области задней черепной ямки

Исследовалось 10 больных с данной локализацией очага поражения. По характеру поражения это были невриномы VIII пары черепномозговых нервов (4 человека) и различные опухоли червя мозжечка и полушарий мозжечка (6 человек). Все больные были в удовлетворительном общем состоянии, полностью ориентированы в окружающем. Контактны, личностно сохранны. Нейропсихологические симптомы поражения состояли из колебаний работоспособности, неустойчивости внимания, некоторого снижения памяти (по модально-неспецифическому типу), некоторой импульсивности движений.

Когнитивная самооценка. В целом самооценка переживаемых эмоций оказалась заниженной по сравнению с нормой. Эмоции "радость" и "удовольствие" оценивались по шкале "иногда"; между шкалами "редко" и "иногда" располагались эмоции "гнев" и "печаль". "Страх" оценивался как редкое переживание.

Соответственно континуум переживаемых эмоций по частоте выглядел следующим образом:


Таким образом, когнитивная самооценка у данной категории больных в целом отличалась и от нормы, и от больных с диэнцефальными поражениями мозга (ом. стр. 128, 131).

Эмотивная самооценка. У данной группы больных по трем факторам (Е - оценка, Р - сила, А - активность) эмоции распределялись на три группы. Первую, которая получила самые высокие оценки по Еу Р и А факторам, составили эмоции радости и удовольствия, во вторую, получившую средние оценки! то всем трем факторам, вошла эмоция страха и третья включала эмоции гнева и печали. Обращает на себя внимание довольно большая однородность результатов.

Больные с поражением лобных долей мозга

В данную группу входило 10 больных; у 4 из них опухоль располагалась в базально-орбитальных отделах правого, у 4 других в базально-орбитальных отделах левого полушария, у 2 имелась двусторонняя локализация очага поражения в базальных отделах лобных долей мозга. По характеру это были внемозговые опухоли (краниофарингеомы, менингеомы). Нейро-психологический синдром у данных больных состоял из некоторой расторможенности, импульсивности, повышенной истощаемости при выполнении серийных заданий, некоторого снижения внимания и памяти по модально-неспецифическому типу. Имелись симптомы некритичности по отношению к своим ошибкам. Эмоционально-личностная сфера - без четких клинически проявляемых отклонений.

Когнитивная самооценка дала следующие результаты. При оценке переживаний 5 эмоций по частоте больные для оценки эмоции "страх" использовали шкалы "редко" и "очень редко". Оценка частоты переживания страха у данной группы больных оказалась самой низкой по сравнению с другими группами испытуемых. Эмоции гнева, радости и удовольствия оценивались как переживаемые "редко" или "иногда". Печаль в основном располагалась на шкалах "иногда" и "часто".

Континуум частоты переживаний этих эмоций выглядит следующим образом:


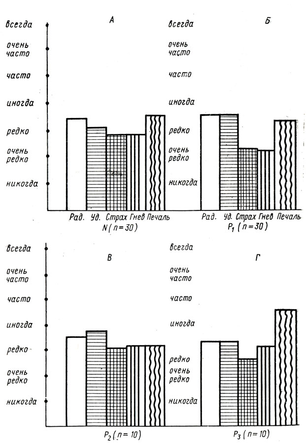
Необычным является наличие равных приблизительно оценок по частоте таких разных эмоций, как гнев, радость и удовольствие (рис. 18 А-Г).

Рис. 18. Результаты когнитивной самооценки эмоций здоровыми испытуемыми (А), больными с поражением диэнцефальных отделов мозга (В), с поражением области задней черепной ямки (В) и базальных отделов лобных долей мозга (Г); N - норма (30 человек); Р><sub>1</sub>, группа Б (30); Р<sub>2</sub>, группа В (10); Р<sub>3</sub>, группа Г (10)
Рис. 18. Результаты когнитивной самооценки эмоций здоровыми испытуемыми (А), больными с поражением диэнцефальных отделов мозга (В), с поражением области задней черепной ямки (В) и базальных отделов лобных долей мозга (Г); N - норма (30 человек); Р1, группа Б (30); Р2, группа В (10); Р3, группа Г (10)

Эмотивная самооценка. По факторам Е, Р, и А (оценка, сила, активность) эмоции разделились на три группы. В первую вошли эмоции радости и удовольствия, получившие самые высокие оценки по всем трем факторам (по фактору "сила" эмоция "радость" получила наибольшее значение среди всех групп испытуемых). Вторую группу составили эмоции "гнев" и "печаль", получившие средние оценки, в третью вошла эмоция "страх", получившая самые низкие оценки (по фактору "сила" эмоция "страх" получила наименьшее значение среди всех групп испытуемых; см. рис. 19).

Ha рис. 19 представлены средние результаты по косвенной и эмотивной самооценке у всех четырех групп испытуемых: здоровых, больных с поражением диэнцефальной области мозга, больных с поражением структур, располагающихся в области задней черепной ямки, и больных с поражениями базальных отделов лобных долей мозга.

Рис. 19. Результаты эмотивной самооценки базальных эмоций, полученные с помощью методики семантического дифференциала (12 шкал); А - распределение ответов по факторам 'сила' и сактивность' у четырех групп испытуемых и Б - распределение ответов по факторам 'активность' и 'оценка' у тех же групп испытуемых; Р - радость; У - удовольствие; П - печаль; С - страх; Г - гнев. Обозначения те же, что и на рис. 18
Рис. 19. Результаты эмотивной самооценки базальных эмоций, полученные с помощью методики семантического дифференциала (12 шкал); А - распределение ответов по факторам 'сила' и сактивность' у четырех групп испытуемых и Б - распределение ответов по факторам 'активность' и 'оценка' у тех же групп испытуемых; Р - радость; У - удовольствие; П - печаль; С - страх; Г - гнев. Обозначения те же, что и на рис. 18

Итак, изучение особенностей эмоциональной сферы у здоровых испытуемых и больных с поражением д и энцефальных, стволовых и базально-лобных отделов мозга с помощью оценки эмоций на когнитивном и эмоционально - аффективном уровнях дало интересные результаты.

Здоровыми испытуемыми эмоция "страх" оценивается как самая неприятная (из всего предложенного набора); по шкалам "сила" и "прочность" эмоция страха оценивается приблизительно так же, как и эмоции гнева и удовольствия, и более высоко, чем эмоции радости. "Печаль" занимает самое низкое место по факторам "силы" и "активности", она оценивается как менее неприятная, чем "страх". По субъективной оценке "печаль" переживается в норме значительно чаще, чем "страх".

Сравнение когнитивной и эмотивной оценок положительных эмоций ("радость", "удовольствие") у здоровых испытуемых показывает, что эмотивная косвенная оценка этих эмоций выше сознательной когнитивной (т. е. "радость" и "удовольствие" оцениваются как более сильные переживания). Больные с поражением диэнцефальных отделов мозга при когнитивной оценке частоты переживаний радости и удовольствия дают более высокие значения, чем при эмотивной оценке положительных эмоций.

Сопоставление значений эмотивной оценки положительных эмоций ("удовольствие", "радость") по фактору силы у разных групп испытуемых показывает, что минимальные значения дают этим эмоциям диэнцефальные больные, а максимальные - лобные (рис. 20).

Рис. 20. А - сопоставление значений когнитивной (а) и эмотивной (б) самооценки положительных эмоций ('радость', 'удовольствие') у здоровых испытуемых (N) и больных с поражением диэнцефальных отделов мозга (P><sub>1</sub>). Распределение различных групп испытуемых по эмотивной оценке отрицательных эмоций (Б) и положительных эмоций (В). N - здоровые испытуемые, P<sub>1</sub> - больные с поражением диэнцефальной области мозга, Р<sub>2</sub> - больные с поражением в области задней черепной ямки, Р<sub>3</sub> - больные с поражением базальных отделов лобных долей мозга
Рис. 20. А - сопоставление значений когнитивной (а) и эмотивной (б) самооценки положительных эмоций ('радость', 'удовольствие') у здоровых испытуемых (N) и больных с поражением диэнцефальных отделов мозга (P1). Распределение различных групп испытуемых по эмотивной оценке отрицательных эмоций (Б) и положительных эмоций (В). N - здоровые испытуемые, P1 - больные с поражением диэнцефальной области мозга, Р2 - больные с поражением в области задней черепной ямки, Р3 - больные с поражением базальных отделов лобных долей мозга

По отношению к отрицательным эмоциям ("страх", "печаль", "гнев") эмотивная оценка всех испытуемых (и нормы, и больных) - совпадает. Все эти эмоции относят к категории "неприятное". Различия по степени "неприятности" выражены незначительно. По двум другим факторам ("сила" и "активность") испытуемые разделились на две группы. В первую вошли здоровые лица и "диэнцефальные" больные; эта группа оценивает переживание отрицательных эмоций как более "сильное", "прочное", "активное". Вторую группу составили больные с поражением лобных долей мозга и области задней черепной ямки, для них были характерны менее интенсивные оценки отрицательных эмоций по этим шкалам.

Различия в эмотивной оценке положительных и отрицательных эмоций у больных исследованных групп, с одной стороны, и отличие этих оценок в целом от тех, которые свойственны норме, - с другой, показывают, что процедура семантического дифференцирования выявляет такие отклонена в состоянии, эмоциональной сферы, которые могут быть соотнесены с результатами, полученными с помощью других методик. Только, сопоставление данных полученных с помощью различных методических приемов, может дать представление о целостном "эмоциональном синдроме", свойственном больным с той или иной локализацией патологического очага.

предыдущая главасодержаниеследующая глава











© PSYCHOLOGYLIB.RU, 2001-2021
При копировании материалов проекта обязательно ставить активную ссылку на страницу источник:
http://psychologylib.ru/ 'Библиотека по психологии'

Рейтинг@Mail.ru

Поможем с курсовой, контрольной, дипломной
1500+ квалифицированных специалистов готовы вам помочь