НОВОСТИ    БИБЛИОТЕКА    ССЫЛКИ
КРАТКИЙ ПСИХОЛОГИЧЕСКИЙ СЛОВАРЬ РАЗДЕЛЫ ПСИХОЛОГИИ
КАРТА САЙТА    О САЙТЕ


предыдущая главасодержаниеследующая глава

§ 3. Оценка эмоциональной устойчивости через продуктивность и качество запоминания материала, различного по эмоциональной значимости

Для изучения эмоциональной устойчивости (а также эмоциональной реактивности - ЭР и эмоциональной адаптации ЭА) у больных с локальными поражениями мозга была использована модифицированная методика на оценку продуктивности и качества кратковременного запоминания. Серии были сокращены до 9 слов (в каждой по три "нейтральных", "положительных" и "отрицательных" слова). В остальном методика осталась без изменений.

Исследовалось 20 больных: с поражением правого полушария (5 человек), левого полушария (5 человек) и базальных отделов мозга (10 человек). По локализации это были опухоли передних отделов мозга: лобно-теменных, лобно-височных отделов мозга, орбитальные опухоли, опухоли хиазмально-селлярного расположения. Все больные находились в относительно хорошем состоянии, нейропсихологические симптомы, соответствующие локализации очага, были выражены слабо или умеренно. Четких клинических проявлений эмоциональных нарушений у больных не было.

Прежде всего следует отметить, что объем запоминания у больных по сравнению со здоровыми испытуемыми снижен. Если здоровые испытуемые воспроизводят в среднем 74% предъявленных слов, то больные - только 47%. Однако и на этом уровне можно видеть динамику воспроизведения слов в первой (до эмоциональной интерференции) и во второй сериях (после эмоциональной интерференции).

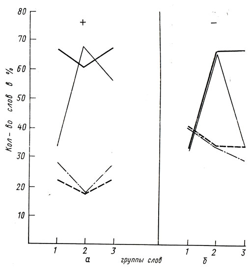
На рис. 15, а изображена динамика запоминания "нейтральных" и "эмоциональных" слов в первой и второй сериях опытов в норме и у больных с локальными поражениями мозга. (При оценке "эмоциональных" слов учитывались лишь те, знак которых соответствовал знаку эмоциональной интерференции.)

Из рис. 15 а, б, отражающего динамику запоминания у здоровых испытуемых, можно видеть, что если до эмоционального воздействия процент правильно воспроизведенных "нейтральных" слов выше, чем "эмоциональных", соответствующих знаку воздействия, то после эмоционального воздействия наблюдается резкое снижение процента "нейтральных" слов и увеличение процента "эмоциональных" слов. Этот факт и отражает фазу эмоциональной реактивности (ЭР). Далее количество "эмоциональных" слов постепенно снижается, а "нейтральных" - повышается, что отражает фазу эмоциональной адаптации (ЭА).

Рис. 15. Динамика воспроизведения слов в норме после интерференции эмоционально положительными или эмоционально отрицательными славами: а - до и после воздействия эмоционально положительными словами, б - до и после воздействия эмоционально отрицательными словами. Обозначения: широкая сплошная линия - 'нейтральные' слова фоновых групп; узкая сплошная линия - 'нейтральные' слова в пост-интерференционных группах; пунктирная линия - 'эмоциональные' слова в фоновых группах; 'эмоциональные' слова в пост-интерференционных группах - штрихпунктирная линия; 1, 2, 3 - группы слов (по 15 в каждом), предъявляемых однократно. Подсчитано только число 'эмоциональных' слов, соответствующих эмоциональному знаку воздействующих слов
Рис. 15. Динамика воспроизведения слов в норме после интерференции эмоционально положительными или эмоционально отрицательными славами: а - до и после воздействия эмоционально положительными словами, б - до и после воздействия эмоционально отрицательными словами. Обозначения: широкая сплошная линия - 'нейтральные' слова фоновых групп; узкая сплошная линия - 'нейтральные' слова в пост-интерференционных группах; пунктирная линия - 'эмоциональные' слова в фоновых группах; 'эмоциональные' слова в пост-интерференционных группах - штрихпунктирная линия; 1, 2, 3 - группы слов (по 15 в каждом), предъявляемых однократно. Подсчитано только число 'эмоциональных' слов, соответствующих эмоциональному знаку воздействующих слов

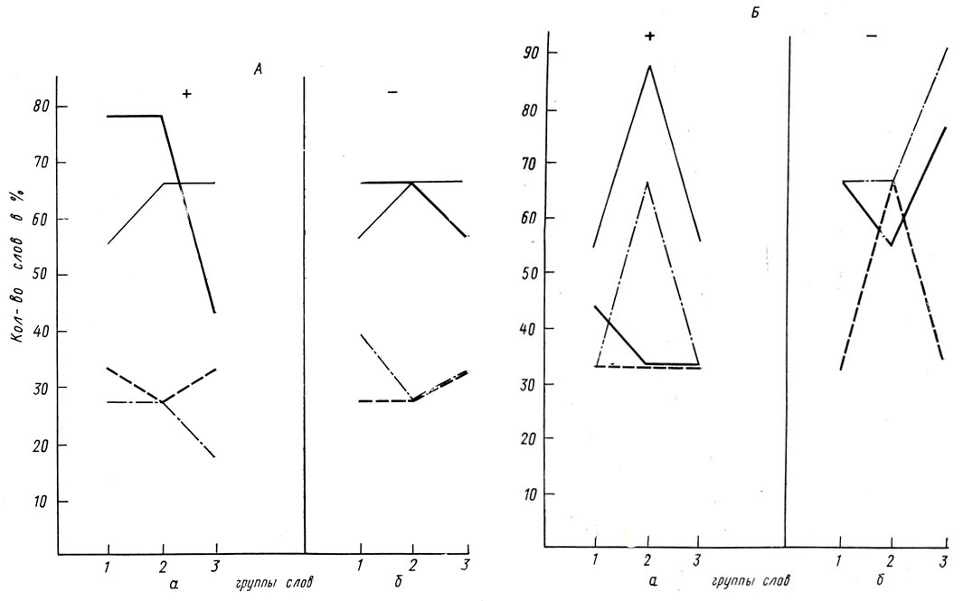
На рис. 16 представлены результаты исследования больных с поражением правого и левого полушарий мозга. Как видно из рис. 16 А, у больных с поражением правого полушария количество "нейтральных" слов после положительного эмоционального воздействия сначала существенно уменьшается, потом - несколько возрастает. Количество эмоционально положительных слов при этом несколько снижается (а не возрастает, как в норме), особенно при повторении третьей группы слов. После отрицательного эмоционального воздействия (вторая серия) первоначальный эффект состоял в некотором росте отрицательно эмоциональных слов (примерно на 10%), но по мере повторения процедуры их число падает до первоначального, фонового. Менее отчетлив эффект отрицательной эмоциональной интерференции и на "нейтральные" слова.

Рис. 16. А - динамика воспроизведения слов у больных с поражением правого полушария (усредненные данные). Обозначения те же, что и на рис. 15; Б - динамика воспроизведения слов у больных с поражением левого полушария мозга (усредненные данные)
Рис. 16. А - динамика воспроизведения слов у больных с поражением правого полушария (усредненные данные). Обозначения те же, что и на рис. 15; Б - динамика воспроизведения слов у больных с поражением левого полушария мозга (усредненные данные)

Таким образом, у данной группы больных снижена по сравнению с нормой реактивность и на эмоционально положительную, и на эмоционально отрицательную интерференцию. Изменена и эмоциональная адаптация (рис. 16 Б).

У больных с поражением левого полушария реакция на положительную интерференцию вообще отсутствует; только при предъявлении второй группы слов наблюдается рост продуктивности воспроизведения вообще - в том числе и "эмоциональных" слов, - а далее продуктивность вновь снижается до фоновой. После отрицательной интерференции количество отрицательных эмоциональных слов при воспроизведении существенно возрастает - особенно при воспроизведении третьего списка слов, что можно расценивать как нарушение адаптации и эмоциональной неустойчивости по отношению к эмоционально отрицательным стимулам.

У больных с поражением базальных структур головного мозга в первой серии (с положительной интерференцией) наблюдается пониженная реактивность и невысокая адаптация к положительным воздействиям, во второй (с отрицательной интерференцией) какая-либо реакция на отрицательную стимуляцию вообще отсутствует, хотя общее число воспроизведенных эмоционально отрицательных слов значительно превосходит число положительных слов (рис. 17).

Рис. 17. Динамика воспроизведения слов у больных с поражением базальных отделов мозга (усредненные данные). Обозначения те же, что и на рис. 15
Рис. 17. Динамика воспроизведения слов у больных с поражением базальных отделов мозга (усредненные данные). Обозначения те же, что и на рис. 15

Принимая во внимание все ограничения, которые накладывает на интерпретацию полученных данных подобный "обобщенный" подход (усреднение результатов всех больных с различной локализацией поражения внутри правого, левого полушарий и базальных отделов мозга), можно тем не менее сделать вывод о том, что больные с локальными поражениями мозга отличаются от нормы и по особенностям реагирования на эмоциональное воздействие, и по динамике запоминания "эмоциональных" слов (эмоциональной адаптации), и по эмоциональной устойчивости к воздействию (положительному или отрицательному).

Анализ результатов показал, что "правые" больные лучше реагируют на положительные стимулы, чем на отрицательные, но в адаптации нет значимых различий. "Левые" больные лучше реагируют на отрицательные стимулы, чем на положительные, но адаптация лучше к положительным стимулам.

У "базальных" больных нет различий в адаптации, но реакция выше на положительные стимулы.

Были обнаружены также значимые различия в эмоциональном реагировании на отрицательные стимулы у больных с поражением правого и левого полушарий, состоявшие в большей реакции на отрицательные стимулы левосторонних больных по сравнению с правосторонними, а также и "базальными". Но по сравнению с этими же группами левосторонние больные хуже адаптируются к положительным стимулам, чем две других группы больных.

Таким образом, сравнительный анализ показал необходимость выделения показателей ЭР и ЭА отдельно на положительные и отрицательные стимулы и, следовательно, ЭУ двух типов (по отношению к положительным и отрицательным стимулам).

В целом высокая ЭУ к положительным стимулам наблюдалась у 35% больных, что значительно ниже нормы (65%), а низкая - в 65%, что много выше нормы (35%).

По отношению к отрицательным стимулам низкая устойчивость наблюдалась у больных в 70% случаев и только в 45% - у здоровых (высокая соответственно - в 30% и 55%).

Таким образом, по сравнению с нормой устойчивость по всем видам воздействий у больных значительно ниже, чем в норме, но это происходит за счет разных факторов: за счет повышения реактивности и снижения адаптации к отрицательным стимулам у "левых" больных; за счет снижения адаптации к воздействиям того и другого знака - у "правых" больных и повышения реактивности на положительные стимулы - у "базальных".

Но наибольшие нарушения реактивности и адаптации (т. е. ЭУ) наблюдаются у левосторонних больных, показавших наименьшую устойчивость к обоим видам эмоциональных воздействий, что значительно отличается от нормы (у 80% больных имелась неустойчивость к положительным воздействиям).

Апробирование методики для определения эмоциональной устойчивости путем оценки продуктивности и качества запоминания до и после эмоционального воздействия (положительного и отрицательного) показало, что эмоциональная устойчивость представляет собой особую характеристику состояния эмоциональной сферы, которая относится и к положительным, и к отрицательным эмоциональным явлениям. Данная характеристика подразделяется на два самостоятельных показателя - эмоциональную устойчивость к положительным и к отрицательным воздействиям, - которые обладают известной автономностью.

Значения этих показателей у больных с локальными поражениями мозга существенно отличаются от нормальных.

Небольшое число исследованных больных и их объединение в группы "по полушариям" (а не по локализации в пределах каждого полушария) не дает сейчас возможности определить специфику эмоциональной устойчивости, связанную с теми или иными структурами мозга. Можно говорить лишь о перспективном методическом подходе к изучению эмоциональной сферы в клинике локальных поражений головного мозга, который пока не получил достаточного развития.

Таким образом, изучение эмоциональной устойчивости, понимаемой как способность к восстановлению эмоциональных реакций после эмоционального воздействия, определяемой через эмоциональную реактивность и эмоциональную адаптацию, может существенно дополнить арсенал методов анализа эмоциональной сферы не только в норме, но и в патологии.

предыдущая главасодержаниеследующая глава











© PSYCHOLOGYLIB.RU, 2001-2021
При копировании материалов проекта обязательно ставить активную ссылку на страницу источник:
http://psychologylib.ru/ 'Библиотека по психологии'

Рейтинг@Mail.ru

Поможем с курсовой, контрольной, дипломной
1500+ квалифицированных специалистов готовы вам помочь