НОВОСТИ    БИБЛИОТЕКА    ССЫЛКИ
КРАТКИЙ ПСИХОЛОГИЧЕСКИЙ СЛОВАРЬ РАЗДЕЛЫ ПСИХОЛОГИИ
КАРТА САЙТА    О САЙТЕ


предыдущая главасодержаниеследующая глава

3. Отражательно-оценочная и регуляторные функции эмоций. Их нейроанатомические и нейрохимические основы

Несмотря на то, что каждый из нас знает, что такое эмоции, дать этому состоянию точное научное определение невозможно... В настоящее время не существует единой общепризнанной научной теории эмоций, а также точных данных о том, в каких центрах и каким образом эти эмоции возникают и каков их нервный субстрат.

Физиология человека (1985, с. 211-212)

Поскольку подробному изложению физиологии, нейроанатомии и психологии эмоций посвящена наша предыдущая книга (Симонов, 1981), в настоящей главе мы ограничимся самым кратким напоминанием основных положений потребностно-информационной теории эмоций и сводкой новейших данных о мозговых механизмах эмоций человека.

Однако прежде всего мы хотим сформулировать те вопросы, на которые сегодня обязана ответить любая сколько-нибудь развитая и завершенная теория эмоций.

1. Если автор теории разделяет мнение о том, что эмоция представляет одну из форм отражения реальной действительности, он обязан определить, что именно отражает эмоция, чем она отличается от других разновидностей отражательной деятельности мозга. Сложность и нерешенность этого вопроса отметил В. К. Вилюнас. "При исследовании познавательных процессов обычно существует возможность опираться на два ряда явлений: объективный и субъективный, отражаемый и отраженный. По отношению к субъективному отражению первый ряд может служить своего рода образцом, "эталоном" того, что, например, должно или могло бы быть воспринято, запечатлено, постигнуто мышлением и т. п. ... При исследовании же эмоций такой возможности не существует. Эмоции выполняют функцию не отражения объективных явлений, а выражения субъективных к ним отношений... Поэтому данные о том или ином эмоциональном переживании мы можем сравнить лишь с данными о других эмоциональных переживаниях у одного и того же человека или у других людей, а не с некоторым объективным "эталоном"" (Рейковский, 1979, с. 7).

2. Любая новая теория эмоций должна, по нашему мнению, способствовать упорядочиванию, классификации наблюдаемых в жизни эмоций, предложив теоретический принцип подобной классификации. Можно, конечно, пойти и чисто эмпирическим путем, примером которого служит классификация Б. И. Додонова (1978). Опросив достаточно большое количество людей о том, какие именно эмоции они переживают особенно часто и какие из этих переживаний им представляются наиболее ценными, желательными, автор группирует полученные ответы и приходит к выводу о существовании альтруистических, коммуникативных, глорических, праксических, пунических, романтических, гностических, эстетических и акизитив- ных эмоций. Подобный прием описательной классификации без использования теоретически обоснованного классифицирующего принципа, по-видимому, специфичен для психологии эмоций и сильно отличает ее от других областей науки. Заметим для сравнения, что классификацию химических элементов в таблице Менделеева невозможно представить без открытия периодического закона нарастания атомного веса этих элементов. Что касается чисто описательных классификаций, то углубленный анализ показывает, например, отсутствие "альтруистических" эмоций как таковых, поскольку в основе альтруистического поведения могут лежать весьма различные мотивы: сопереживания и морального самоуважения. Соответственно и эмоции окажутся различными, а их объединение в одну и ту же группу - формальным.

3. Концепция, претендующая на то, чтобы именоваться теорией, должна ответить на вопрос о том, какую роль играют эмоции в жизнедеятельности живых существ, в организации их целенаправленного поведения. Каковы регуляторные функции эмоций и чем они отличаются от регуляторных функций сознания, мышления, памяти, воли.

4. Теория должна способствовать уяснению мозговых механизмов формирования и реализации эмоциональных реакций человека и высших млекопитающих животных. Благодаря успехам общей физиологии мозга, нейропсихологии и нейрохирургии мы имеем сегодня довольно длинный перечень мозговых структур, причастных к эмоциональным реакциям и состояниям. К числу этих мозговых образований относят передние и височные отделы новой коры, гиппокамп, миндалину, гипоталамус, перегородку, центральное серое вещество, неспецифические ядра таламуса и некоторые другие структуры. Вместе с тем остается далеко не ясным, какую именно роль играет каждое из этих образований в генезе и реализации эмоций. Ссылки на "системность" и даже на "голографическое" распределение функций, на деятельность "мозга в целом", с нашей точки зрения, малопродуктивны. Попытки вернуться к представлению об эмоциях как о конечном, далее неделимом психофизиологическом образовании можно было бы сравнить с призывом вернуться от современных представлений о многообразии элементарных частиц к "целостному" атому Демокрита.

5. Наконец, предлагаемая теория должна чем-то принципиально новым обогащать практику воспитания, практику профилактики и борьбы с нежелательными последствиями эмоционального стресса, его влияния на здоровье человека и эффективность выполняемой им деятельности. Универсальное значение практики как критерия истины в полной мере применимо к частному случаю изучения закономерностей и механизмов эмоций.

Отражательно-оценочная функция эмоций. На вопрос о том, что отражает эмоция, потребностно-информационная теория отвечает определенно и однозначно: эмоция есть отражение мозгом человека и высших животных какой-либо актуальной потребности (ее качества и величины) и вероятности (возможности) ее удовлетворения, которую субъект непроизвольно оценивает на основе врожденного и ранее приобретенного индивидуального опыта. В приведенном выше определении представлено и порождающее (через потребность) и отражающее (через вероятность ее удовлетворения) начало. Эмоция отражает предметы и события окружающей среды в их отношении к актуальным потребностям субъекта, откуда и возникает категория значимости этих предметов и событий, их субъективная оценка.

В самом общем виде правило возникновения эмоций можно представить в виде структурной формулы Э =f(П, Инс...), где Э - эмоция, ее степень, качество и знак; П - сила и качество актуальной потребности; Инс) - оценка вероятности (возможности) удовлетворения потребности на основе врожденного и онтогенетического опыта; Ин - информация о средствах, прогностически необходимых для удовлетворения потребности; Ис - информация о существующих средствах, которыми реально располагает субъект. Репрезентация установленных зависимостей в виде формул широко используется в теоретической и экспериментальной психологии. В качестве примера приведем близкую к нашим работам формулу Мак Граса (McGrath, 1976) S=Cо(D-С), где S - степень стресса; Cо - степень важности требования; D - осознаваемое требование; C - осознаваемая возможность. Нетрудно видеть, что эта формула очень напоминает "формулу эмоций" с той разницей, что, появившись на двенадцать лет позднее, она касается лишь частного случая осознаваемой оценки ситуации, тогда как для огромного множества эмоций характерно прогнозирование вероятности достижения цели (удовлетворения потребности) на неосознаваемом уровне.

Можно ли проверить справедливость нашей формулы в прямом эксперименте? Да, можно. Правда, на уровне современной экспериментальной техники "структурная" формула эмоций становится "измерительной" только при исследовании сравнительно элементарных эмоциональных реакций. Так, мы можем измерять степень эмоционального напряжения по величине объективно регистрируемых физиологических сдвигов (частота сердцебиений, амплитуда и продолжительность кожно-гальванических реакций, суммарное напряжение тета-ритма электроэнцефалограммы и т. п.). В определенных пределах мы можем измерять потребность в пище продолжительностью голодания, а потребность избегания боли - силой болевого раздражения. Наконец, мы можем измерять объективную вероятность удовлетворения потребности различной вероятностью подкрепления условного сигнала. В наших книгах и статьях приводятся многочисленные примеры такого рода экспериментов, показавших закономерную зависимость степени эмоционального напряжения от силы потребности и вероятности ее удовлетворения (см. также Price, Barrell, 1984).

А. Я. Мехедова (1969) вырабатывала в нашей лаборатории классические условные рефлексы у собак, подкрепляя условный сигнал в различных сериях экспериментов: 1) 5 г мяса в 100% случаев; 2) 50 г мяса в 100%; 3) 5 и 50 г мяса в случайном порядке, но в равном отношении 1:1. Оказалось, что при обычном пищевом режиме максимальная частота сердцебиений, по которой судили о степени эмоционального напряжения собаки, наблюдается при постоянном подкреплении большой порцией пищи (рис. 1, А), в то время как суточное голодание делает эмоционально напряженной ситуацию с подкреплением условного сигнала в случайном порядке (рис. 1,5). Иными словами, эмоциогенна не сама по себе неопределенность экспериментальной ситуации, но прагматическая неопределенность, т. е. участие в генезе эмоционального напряжения как величины актуальной потребности, так и вероятности ее удовлетворения. По данным Д. Н. Меницкого и М. М. Хананашвили (1969), наибольшее эмоциональное напряжение у собак (визг, лай, чесание, царапание кормушки) наблюдалось при вероятностном подкреплении 1 : 4, а по мере продолжения опыта - при 1 : 2. Значение информационного фактора выступает особенно отчетливо в опытах со спаренными животными, когда оба партнера получают равное количество ударов током, но только один из них может предотвратить наказание соответствующей инструментальной реакцией. Именно у этого животного постепенно исчезают признаки страха, предотвращается изъязвление слизистой желудка и кишечника.

Рис. 1. Динамика сердечного компонента условного рефлекса у собаки при постоянном подкреплении малой (1) и большой (2) порцией пищи и при случайном подкреплении с вероятностью 50 : 50 (3) А - при обычном пищевом режиме; Б - после пищевой депривации (по А. Я. Мехедовой)
Рис. 1. Динамика сердечного компонента условного рефлекса у собаки при постоянном подкреплении малой (1) и большой (2) порцией пищи и при случайном подкреплении с вероятностью 50 : 50 (3) А - при обычном пищевом режиме; Б - после пищевой депривации (по А. Я. Мехедовой)

Установлено, что частота пульса у банковских служащих зависит от степени ответственности (счет банкнотов различного достоинства) и количества информации, содержащейся в одной операции. К. Перкис (Perkis, 1984) изменял в процессе опыта размер денежного штрафа за допущенные ошибки и их вероятность, не зависящую от усилий субъекта. Рост частоты сердцебиений закономерно коррелировал с изменением обоих факторов и был сильнее выражен у субъектов типа А.

Имеются сведения и о том, что две составляющие эмоционального напряжения по-разному сказываются на величине различных вегетативных сдвигов. В опытах с участием человека величина побуждения (размер платы за правильное решение) преимущественно влияла на частоту пульса, дыхания и уровень электрического сопротивления кожи, а трудность задачи (количество выборов) - на объемный пульс и кожно-гальванический рефлекс. Преимущественная связь кожно-гальванического рефлекса с информационным фактором обнаружена и в опытах, где кожно-гальванический рефлекс был слабее при ожидании болевого раздражения током с высокой вероятностью, чем при более редких, но труднопрогнозируемых ударах. Регистрация кожно-гальванической реакции и вызванных потенциалов в ответ на ориентировочный стимул показала, что мотивационные компоненты ориентировочного рефлекса в большей мере детерминированы генотипом исследуемого лица, чем информационные компоненты (Кочубей, 1985).

Впрочем, значение вероятности (возможности) удовлетворения актуальной потребности принимается во внимание далеко не всеми исследователями эмоций. "С точки зрения физиологической, - писал П. К. Анохин, - перед нами стоит задача раскрыть механизм тех конкретных процессов, которые в конечном итоге приводят к возникновению и отрицательного (потребность) и положительного (удовлетворение) эмоционального состояния" (Анохин, 1964, с. 355). Рассматривая генез эмоций, П. К. Анохин учитывал прогнозирование только содержания, семантики цели, предполагая, что в данный момент цель может быть одна, т. е. человек намеревается взять или стакан, или вилку, или тарелку (мы используем пример, который обычно приводил сам П. К. Анохин). П. К. Анохин отрицал прогнозирование вероятности достижения цели, хотя без такого прогноза трудно понять факт возникновения эмоций до начала каких-либо действий. Он писал: "...выражение "вероятностное (?) прогнозирование" просто не соответствует физиологическому смыслу событий и неправильно ориентирует читателей, интересующихся нашими работами. Вероятность прогноза, т. е. параметров акцептора действия, всегда максимальная и равна единице, поскольку она отражает потребность организма на данный момент. Наоборот, результат всегда менее вероятен по отношению к акцептору действия, и, следовательно, выражение "вероятностное прогнозирование едва ли оказывается полезным при изучении живых систем" (Анохин, 1978, с. 272). Чтобы не возвращаться к "биологической теории эмоций" П. К. Анохина, подчеркнем наше согласие с автором теории в том, что касается прогнозирования содержания цели, связи эмоций с потребностями и генеза некоторых отрицательных эмоций. Вместе с тем мы считаем совершенно необходимым введение в модель возникновения эмоций механизма, прогнозирующего вероятность достижения цели, существенно расходимся с П. К. Анохиным в объяснении механизма положительных эмоций и, разумеется, не можем ограничиться применением модели только к биологическим потребностям, о чем свидетельствует само название теории П. К. Анохина.

Каким образом человек прогнозирует вероятность достижения цели (удовлетворения потребности)? Эксперимент и теоретический анализ показывают, что эта оценка осуществляется путем сопоставления информации о средствах, способах, времени и т. д., прогностически необходимых и реально имеющихся у субъекта. Вероятность удовлетворения оказывается интегральным показателем, результатом подобного сопоставления. Скажем, при встрече с тремя разъяренными хищниками вероятность благополучного исхода будет существенно различной в зависимости от того, имеет ли охотник автоматическую винтовку с полной обоймой или один-единственный патрон. Во многих экспериментах разницу между необходимым и имеющимся можно эмпирически измерять по суммарной величине допускаемых субъектом ошибок, что свидетельствует о степени его "информированности", куда входят не только теоретические знания того, что, как и когда надо делать, но и степень совершенства соответствующих практических навыков.

Соотношение необходимого и имеющегося можно рассматривать и в статике, как "мгновенный срез" степени информированности, и в динамике. В первом случае результат сравнения обернется дефицитом или избытком информации, во втором - возрастанием или падением вероятности достижения цели.

Универсальность механизма сравнения такова, что обнаруживается даже в генезе тех элементарных эмоций, которые принято именовать эмоциональным тоном ощущений. Так, эмоциональная окраска ощущений от пищи, находящейся во рту (вкусно, безразлично, неприятно), формируется только после того, как голосовое возбуждение (потребность) оказывается сопоставлено с афферентацией (информацией), идущей из полости рта и свидетельствующей о возрастании вероятности удовлетворения потребности в пище.

Вероятность удовлетворения может быть и субъективной и объективной. Разумеется, в формировании эмоций участвует только субъективная оценка вероятности достижения цели. Животное и человек могут существовать лишь потому, что субъективные оценки вероятности, как правило, адекватно отражают объективную вероятность тех или иных событий. В отдельных случаях субъективный прогноз оказывается ложным, и тогда эмоциональная оценка событий не соответствует их реальному значению ("пьяному море по колено", "пуганая ворона и куста боится" и т. п.).

Неопределенность не может сочетаться с высокой вероятностью достижения цели, хотя максимальная неопределенность предстоящих событий (50%) оставляет больше надежды на благополучный финал, чем заведомо низкая вероятность, равная 20 или 10%.

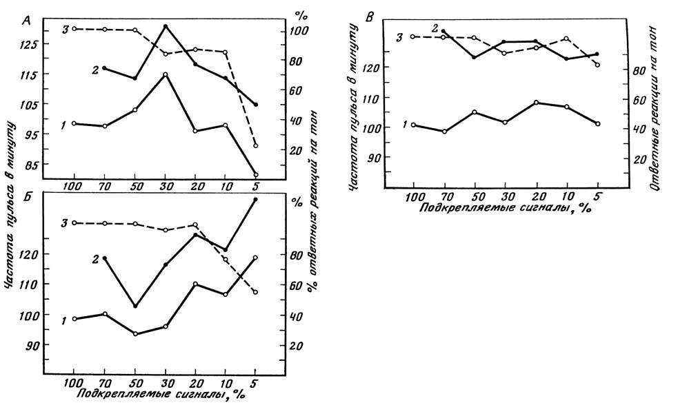
Применительно к эмоциям мы встречаемся здесь с дополнительным фактором, который не представлен в формуле, подобно тому как в формуле не представлена динамика развертывания эмоциональных реакций во времени и многое другое. Речь идет об индивидуальных (типологических, характерологических) особенностях эмоциональности данного субъекта. Эксперименты нашей сотрудницы Л. А. Преображенской показали, что эмоциональное напряжение, о котором судили по частоте сердцебиений, у одних собак достигает наивысших значений при максимальной неопределенности подкрепления (рис. 2, А), а у других - при низкой его вероятности (рис. 2, Б). Встречаются и "вероятностно-безразличные" собаки (рис. 2, В). Сходные наблюдения мы нашли в исследованиях В. М. Русалова (1979), который обнаружил среди своих испытуемых три группы лиц, по-разному реагировавших на вероятностно организованную среду.

Рис. 2. Частота сердечных сокращений в фоне (1), при появлении пустой кормушки (2) и процент двигательных реакций на условный сигнал (3) у трех собак (А, Б, В) при различной вероятности подкрепления (по Л. А. Преображенской)
Рис. 2. Частота сердечных сокращений в фоне (1), при появлении пустой кормушки (2) и процент двигательных реакций на условный сигнал (3) у трех собак (А, Б, В) при различной вероятности подкрепления (по Л. А. Преображенской)

Индивидуальные особенности данного животного проявляются и в ситуации конфликта между качеством (ценностью) подкрепления и вероятностью удовлетворения соответствующей потребности. Эти два фактора Д. И. Меницкий (1983) называет активационным и информационным компонентами подкрепления. Совместно с Л. П. Руденко мы провели серию опытов на трех собаках в камере, где были установлены четыре кормушки (рис. 3). Каждая кормушка содержала восемь металлических чашечек, наполненных мясным фаршем. С помощью дистанционного устройства диск с чашечками можно было поворачивать так, чтобы одна из них появилась в окне кормушки.

Рис. 3. Расположение кормушек 1-4 в экспериментальной камере: А - вход для собаки; Б - окно экспериментатора
Рис. 3. Расположение кормушек 1-4 в экспериментальной камере: А - вход для собаки; Б - окно экспериментатора

Каждую собаку поочередно впускали в камеру (десять раз в течение опыта) и открывали ей доступ к пище, когда она подходила к кормушке, "эффективной" а данной пробе согласно заранее составленной программе. Суть программы заключалась в том, что вероятность получения мяса при подходе к кормушке № 1 составляла 50%, к кормушке № 3-30%, к кормушке № 2-20%, подходы к кормушке № 4 не подкреплялись. После семи первых дней условия опыта изменяли таким образом, что при подходе к кормушке № 1 собаки получали не мясо, а мясосухарный порошок, смоченный водой. Вероятность получения сухарей в кормушке № 1, а мяса в кормушке № 2 и 3 оставалась без изменений. В каждой из десяти проб собака могла получить подкрепление только из одной кормушки. Подходы к кормушкам экспериментатор наблюдал через окно. Кроме того, они регистрировались на самописце с помощью тензометрических платформ, установленных возле всех четырех кормушек.

Эксперименты показали (рис. 4), что начиная с 3-5- го дня опытов все собаки отдают предпочтение кормушке с наиболее высокой вероятностью появления пищи. В первые 3-4 дня у Икара и Динки (А и В на рис. 4) наметилось предпочтение кормушки № 2 с 20%-ным подкреплением. Эту аномалию поведения можно предположительно объяснить размещением кормушки № 2 на пути к часто подкрепляемой кормушке № 1 (см. рис. 3), благодаря чему подход к кормушке № 2 становится компонентом подкрепляемого комплекса: кормушки № 2 и 1. На рис. 4 показано количество только первых подходов к кормушкам № 1, 2 и 3, когда собака, войдя в камеру, сразу же направляется к данной кормушке. Если же рассмотреть поведение собак в целом, то можно убедиться, что все три собаки осматривали кормушки в последовательности, соответствующей вероятности подкрепления. Сначала они подходили к кормушке № 1 (50% подкрепляемых подходов), затем -к кормушке № 3 (30%), от нее - к кормушке № 2 (20%), а кормушку № 4 (0%) переставали посещать вообще.

Рис. 4. Количество первых подходов к кормушкам № 1 (I), № 2 (II), № 3 (III) собак Икара (А), Динки (Б) и Буяна (В): Абсцисса - дни опытов; стрелка а - замена мяса сухарями в кормушке № 1; стрелка б - насыщение сухарями
Рис. 4. Количество первых подходов к кормушкам № 1 (I), № 2 (II), № 3 (III) собак Икара (А), Динки (Б) и Буяна (В): Абсцисса - дни опытов; стрелка а - замена мяса сухарями в кормушке № 1; стрелка б - насыщение сухарями

Поведение собак существенно изменилось после того, как в часто подкрепляемой кормушке № 1 мясо заменили мясосухарным порошком (стрелка а на рис. 4). Количество подходов к этой кормушке стало падать, а число подходов к "мясной" кормушке № 2 возросло. Мы уже обсудили вопрос о том, почему кормушка № 2 оказалась более эффективным условным сигналом, чем кормушка № 3. Предпочтение редко подкрепляемой "мясной" кормушки № 2 по сравнению с часто подкрепляемой "сухарной" № 1 наблюдалось у Динки и Буяна (Б и В на рис. 4). После двухнедельной "борьбы вероятности подкрепления с его ценностью" (11-й и 12-й опыты) Икар продолжал отдавать предпочтение кормушке № 1. Только насыщение этой собаки сухарями перед опытом (17-й и 18-й дни) привело к отчетливому доминированию чаще подкрепляемой "мясной" кормушки № 3. Иными словами, в случае конфликта между вероятностью и ценностью подкрепления решающее значение приобретают уровень мотивации и индивидуальные особенности животного.

Изучение зависимости пищедобывательного поведения собак от вероятности и качества (ценности) подкрепления обнаружило сложные отношения между этими двумя факторами организации целенаправленного поведения. При неизменном уровне мотивации стратегия поиска пищи определяется вероятностью ее нахождения в той или иной точке пространства, причем эта вероятность прогнозируется на основе ранее приобретенного опыта. Дело существенно осложняется в случае возникновения конфликта между вероятностью и качеством подкрепления, поскольку сила потребности оказывает влияние не только на уровень эмоционального напряжения, но и на деятельность мозговых механизмов, оценивающих возможность удовлетворения потребности. Усиление мотивации, как правило, ведет к переходу к оптимальной стратегии, т. е. к реакциям, обеспечивающим максимальный суммарный выигрыш (Sigel, Goldstein, 1959). И. М. Фейгенберг (1972) экспериментально показал, что степень искажения зависимости времени реакции от вероятности появления сигнала может служить количественной мерой значимости этого сигнала для субъекта. Как мы уже отмечали, прогнозирование вероятности тех или иных событий в значительной мере определяется индивидуальными (типологическими) особенностями субъекта (Крауклис, Янсон, Шираев, Казаковская, 1979; Русалов, 1979).

Эксперимент и наблюдения показывают, что порождаемая потребностью эмоция оказывает обратное влияние на потребность и прогноз ее удовлетворения. Кстати, и прогноз способен существенно повлиять на силу потребности, свидетельством чему могут служить многочисленные эксперименты с так называемой "выученной беспомощностью". Разумеется, когда мы говорим о влиянии эмоций на потребность, а потребности на прогнозирование вероятности достижения цели, мы отнюдь не думаем, что эмоция и потребность могут расти беспредельно. Эти пределы не оговорены и не отражены в формуле эмоций, поскольку, повторим еще раз, формула представляет структурно-качественную модель и только в определенных, сравнительно простых случаях ее символы могут быть заменены эмпирически измеримыми величинами.

Вместе с тем формула наглядно воспроизводит сложную внутреннюю структуру эмоций, взаимозависимости эмоции, потребности и вероятности ее удовлетворения, которая осуществляется как на осознаваемом, так и на неосознаваемом уровне высшей нервной (психической) деятельности. М. А. Котик (1978) предложил методику оценки значимости события для субъекта как функции ценности (важности) этого события и его вероятности. Результаты, полученные с помощью данного метода, хорошо соответствуют формуле эмоций.

"Экспериментальные материалы, - пишут Г. Т. Береговой и В. А. Пономаренко (1983, с. 27), - касающиеся приема и переработки информации при частичных отказах техники, показали, что наибольшей "экстремальностью" обладает такое состояние системы "летчик-самолет", когда необходима и осознается потребность вмешательства в управление, а информации (сигналов) для принятия решения летчиком недостаточно; главными факторами, дезорганизующими поведение, являются дефицит и неопределенность информации". Аналогичную оценку теории дает и В. И. Лебедев (1980, с. 51): "Эмоциональная напряженность при выраженной направленности на выполнение задания в условиях воздействия фактора риска и при отсутствии исчерпывающей информации о надвигающихся событиях полностью укладывается в информационную теорию эмоций, разрабатываемую П. В. Симоновым". Приведенные и подобные им свидетельства практиков утверждают нас в том, что теория адекватно воспроизвела объективные закономерности генеза эмоциональных состояний.

Классификация эмоций. Поскольку в основе любой эмоции лежит соответствующая потребность, поскольку в одно и то же время могут оказаться актуализированными несколько потребностей с разной вероятностью их удовлетворения ("Мне грустно и легко, печаль моя светла..."), сколько-нибудь полная классификация эмоций представляется делом хотя и увлекательным, но безнадежным. Вот почему многие авторы пытаются выделить лишь ограниченное число "базальных" эмоций.

Информационная теория эмоций побуждает разделить их прежде всего на две традиционные группы: на положительные и отрицательные. Первые возникают в ситуации избытка прагматической информации по сравнению с ранее существовавшим прогнозом (при "мгновенном срезе") или в ситуации возрастания вероятности достижения цели (если генез эмоции рассматривается в его динамике). Вторые - представляют реакцию на дефицит информации или на падение вероятности достижения цели.

Вероятность достижения цели в огромной мере зависит от эффективности действий субъекта, вот почему вторым принципом классификации эмоций оказывается характер взаимодействия живых существ с объектами, способными удовлетворить имеющуюся потребность. Взаимодействие может быть контактным, уже происходящим, или дистанционным в виде овладения, защиты и преодоления (борьбы). В подобной системе координат мы получаем всего четыре пары "базисных" эмоций: удовольствие- отвращение, радость - горе, уверенность - страх, торжество - ярость. Именно такую классификацию эмоций мы впервые опубликовали в 1966 г. (Симонов, 1966). Позднее к. ней присоединился В. Д. Небылицын. Что касается качественной специфики эмоций наслаждения, радости, страха, гнева и т. д., то она целиком определяется потребностью, в связи с удовлетворением которой возникает данное эмоциональное состояние. Мы отнюдь не считаем предлагаемую классификацию эмоций наилучшей или исключающей другие возможные классификации. Нам важно подчеркнуть, что она с непреложностью вытекает из развиваемой нами теории.

Подкрепляющая функция эмоций. Будучи универсальной мерой ценности, значимости происходящих во внешней среде событий, эмоции принимают самое непосредственное участие в процессах обучения и памяти, в механизме формирования новых навыков, новых условных рефлексов. С эмоциями неразрывно связан феномен подкрепления, занимающий центральное положение в системе понятий науки о высшей нервной деятельности, поскольку именно от факта подкрепления зависят образование, существование, угашение и особенности любого условного рефлекса. Под подкреплением "Павлов подразумевал действие биологически значимого раздражителя (пищи, вредоносного раздражителя и т. п.), которое придает сигнальное значение другому, сочетанному с ним несущественному в биологическом отношении раздражителю" (Асратян, 1971, с. 5). Многочисленные факты показывают, что условный рефлекс можно выработать, сочетая и так называемые "индифферентные" раздражения, хотя скорость замыкания условной связи, ее стойкость и дальнейшая судьба в решающей мере зависят от видовых особенностей животного, интенсивности стимулов, их сенсорной модальности и порядка сочетаний (Schoenfeld, 1978). Заметим, что стимул, кажущийся безразличным для экспериментатора, может быть экологически важным для животного данного вида, не говоря уже о том, что исследовательская потребность (любопытство) чрезвычайно сильна у многих животных и делает "индифферентные" события "жизненно важными" (Berlyne, 1978).

В другом смысле подкреплением следовало бы называть действие второго по порядку сочетания во времени стимула, благодаря которому первый стимул начинает вызывать ранее несвойственную ему реакцию. Обсуждая этот вопрос, Э. А. Асратян особо подчеркивал, что выражение ""подкрепляющий рефлекс" полнее и точнее отражает суть дела, чем "подкрепляющий раздражитель". Ведь безусловный раздражитель оказывает свое подкрепляющее действие не иначе, как через вызываемый им безусловный рефлекс, посредством этого рефлекса. Иными словами, подкрепляет рефлекс, а не порождающий его раздражитель... Нетрудно видеть логическую связь между данным нашим предложением и определением первичного условного рефлекса как продукта синтеза двух или большего числа безусловных рефлексов, предложенным нами почти два десятка лет тому назад..." (Асратян, 1977, с. 12). Подтверждением идеи Э. А. Асратяна о "подкрепляющем рефлексе" может служить тот факт, что обязательным условием необратимости запечатления (импринтинга) у утят является реакция их следования за движущимся объектом. Пассивного наблюдения за этим объектом оказывается недостаточно (Kertzman, Demarest, 1982). Поскольку любой безусловный рефлекс имеет, по представлениям Э. А. Асратяна, сложную "многоэтажную" морфофункциональную организацию, дальнейшая разработка этой идеи требует уточнения, какие именно компоненты подкрепляющего рефлекса имеют решающее значение для реализации феномена подкрепления.

Роль этих компонентов выступает достаточно отчетливо даже при моделировании условной связи путем прямого раздражения мозговых структур с целью изучения клеточно-синаптических механизмов замыкания.

В нашей лаборатории В. А. Маркевич совместно с Л. Л. Ворониным (Воронин, Маркевич, 1980) вырабатывали условный пирамидный ответ, сочетая одиночное биполярное электрическое раздражение с пачкой из 3-5 стимулов частотой 100 Гц. Обе пары электродов располагались в непосредственной близости друг от друга в сенсомоторной коре крысы в зоне представительства ее передней лапы. Это сочетание сопровождалось стимуляцией того пункта латерального гипоталамуса, который в предварительных опытах вызывал реакцию самораздражения. Регистрация ответов пирамидного тракта производилась на уровне продолговатого мозга (см. схему А на рис. 5). На фрагментах Б и В рис. 5 можно видеть, что процесс сочетания всех трех стимулов ведет к увеличению синаптических компонентов ответа при относительной стабильности прямого компонента. Эти изменения не наблюдаются в контрольных экспериментах, когда стимуляция гипоталамуса предшествует корковым стимулам (Г) или когда корковые раздражения сочетаются без дополнительной стимуляции эмоциогенных зон гипоталамуса (Д). Таким образом, участие эмоциогенных структур мозга оказывается существенно важным для выработки даже сравнительно простого аналога услозного рефлекса.

Рис. 5. Выработка аналога условного рефлекса: А - схема локализации стимулирующих и отводящих электродов; наверху указаны интервалы (мс) между применяющимися раздражениями; Б - примеры записей усредненных ответов пирамидного тракта: 1 - до сочетаний, 2 - после сочетаний, 3 - после угашения; В - суммарные изменения прямого и синаптического (заштрихованные столбики) компонентов пирамидного ответа по данным семи опытов, ордината - изменения в процентах к контролю до сочетаний, принятому за 100%, 1 - во время сочетаний, 2, 3, 4 - последовательные серии угашений; Г - влияние стимуляции гипоталамуса, предшествовавшей корковым стимулам (1), 2 и 3 - последействие; Д - сочетание корковых раздражений без стимуляции гипоталамуса, 2 и 3 - последействие. Остальные пояснения в тексте
Рис. 5. Выработка аналога условного рефлекса: А - схема локализации стимулирующих и отводящих электродов; наверху указаны интервалы (мс) между применяющимися раздражениями; Б - примеры записей усредненных ответов пирамидного тракта: 1 - до сочетаний, 2 - после сочетаний, 3 - после угашения; В - суммарные изменения прямого и синаптического (заштрихованные столбики) компонентов пирамидного ответа по данным семи опытов, ордината - изменения в процентах к контролю до сочетаний, принятому за 100%, 1 - во время сочетаний, 2, 3, 4 - последовательные серии угашений; Г - влияние стимуляции гипоталамуса, предшествовавшей корковым стимулам (1), 2 и 3 - последействие; Д - сочетание корковых раздражений без стимуляции гипоталамуса, 2 и 3 - последействие. Остальные пояснения в тексте

Необходимость вовлечения мозговых механизмов эмоций в процесс выработки условного рефлекса становится особенно демонстративной в случае инструментальных условных рефлексов, где подкрепление зависит от реакции субъекта на условный сигнал. Всесторонне проанализировав природу выработки инструментальных рефлексов, В. Вырвицка (Wyrwicka, 1975) пришла к выводу о том, что непосредственным подкреплением в этом случае является не удовлетворение какой-либо потребности, но получение желательных (приятных, эмоционально положительных) или устранение нежелательных (неприятных) стимулов. В зависимости от их интенсивности, функционального состояния организма и характеристик внешней среды приятными могут оказаться самые разнообразные "индифферентные" раздражители - световые, звуковые, тактильные, проприоцептивные, запаховые и т. п. С другой стороны, животные нередко отказываются от жизненно необходимых ингредиентов пищи, если она невкусная. У крыс не удалось выработать инструментальный условный рефлекс при введении пищи через канюлю в желудок (т. е. минуя вкусовые рецепторы), хотя такой рефлекс вырабатывается при введении в желудок морфина, который очень быстро вызывает у животного положительное эмоциональное состояние. Тот же морфин из-за своего горького вкуса перестает быть подкреплением, если его вводить через рот (Cytawa, Trojniar, 1976). В другой серии опытов авторы вырабатывали инструментальный пищевой условный рефлекс у крыс, а после его упрочения заменяли натуральную пищу введением питательного раствора в желудок через носоглоточную канюлю. Рефлекс нажатия на рычаг при этом угасал, но сохранялся, если в желудок вводили 0,05%-ный раствор морфина (Trojniar, Cytawa, 1976).

Мы полагаем, что результаты этих опытов хорошо согласуются с данными Т. Н. Ониани (1975), который использовал прямое электрическое раздражение лимбических структур мозга в качестве подкрепления для выработки условного рефлекса. При сочетании внешнего стимула с раздражением структур мозга, вызывавшим у сытой кошки потребность в еде, питье, агрессию, ярость и страх, после 5-50 сочетаний удалось выработать только условную реакцию избегания, сопровождающуюся страхом. Условных рефлексов еды и питья получить не удалось. Условнорефлекторный голод не удается получить и в натуральных условиях: обстановочные сигналы ситуации, в которой крыс заставляли голодать, вызывают у них не пищевое поведение, а страх и условную реакцию избегания (Mowrer, 1960). Аналогичная реакция наблюдалась в опытах Т. Н. Ониани при подкреплении условного раздражителя стимуляцией "центров агрессии".

С нашей точки зрения, результаты опытов Т. Н. Ониани еще раз свидетельствуют о решающей роли эмоций при выработке условных рефлексов. Страх имеет выраженную аверсивность для животного и активно минимизируется им путем реакции избегания. Раздражение пищевых и питьевых систем мозга у накормленных и не испытывающих жажды животных вызывает стереотипные акты еды и питья без вовлечения нервных механизмов эмоций, что исключает выработку условных рефлексов. Стимуляция центров агрессии генерирует при данной локализации электродов и параметрах тока эмоционально отрицательное состояние, которое, так же как в случае с эмоцией страха, ведет к минимизирующей реакции избегания. Если агрессивное поведение кошек сопровождается вовлечением эмоционально позитивных структур, то на базе их раздражения можно выработать условную реакцию самостимуляции, как это было показано А, В. Вальдманом, Э. Э. Звартау и М. М. Козловской (1976). Эмоционально положительную окраску агрессивного поведения можно обнаружить и в натуральных условиях. Например, у мышей хорошо вырабатывается инструментальный условный рефлекс нажатия на рычаг, если это действие подкрепляется появлением в клетке другой мыши, немедленно атакуемой "исполнителем" (Connor, Watson, 1977).

После 110 сочетаний звука и света с раздражением питьевой зоны гипоталамуса у коз условный сигнал не ведет к питьевому поведению, хотя подкрепляющая стимуляция сейчас же вызывает питье (Милнер, 1973). С другой стороны, Э. Фонберг (Fonberg, 1967) удалось выработать инструментальный условный рефлекс у собак, подкрепляя его стимуляцией, которая побуждала есть сытое животное. Автор полагает, что в этих опытах электрический ток активировал не структуры голода, а энграммы признаков вкусной пищи, что и заставляло собак продолжать еду, несмотря на состояние насыщения.

С момента своего возникновения условнорефлекторная теория предполагала конвергенцию двух возбуждений: от условного раздражителя и от стимула, вызывающего безусловный рефлекс, например афферентацию из полости рта при поступлении в рот пищи. Тогда же выяснилось значение "наличного функционального состояния", пищевой возбудимости, которую сегодня мы можем рассматривать как результат возбуждения мозговых структур, активированных возникновением соответствующей потребности - состоянием голода. Однако ни афферентация из полости рта, ни голодовое возбуждение сами по себе не могут играть роли подкрепления, обеспечивающего формирование инструментального условного рефлекса.

Только интеграция голодового возбуждения с возбуждением от фактора, способного удовлетворить данную потребность, т. е. механизм, генерирующий положительную эмоцию, обеспечивает выработку условного рефлекса. При ином соотношении конвергирующих возбуждений, например при поступлении пищи в рот перекормленного животного, активация механизмов отрицательной эмоции приведет к оборонительной реакции избегания.

Что касается эмоций в момент воспроизведения условных связей, то они зависят от степени актуальности той потребности, на базе которой возникает данная эмоциональная реакция. Экспериментально показано, что дети 8 лет через 10 дней после первого опыта лучше воспроизводили тот словесный материал, который соответствовал мотиву, доминирующему в их личностной иерархии, будь то враждебность, лидерство, любознательность, привязанность и т. д.

Об эмоциональной памяти в "чистом виде" мы, по-видимому, вправе говорить только в тех особых случаях, когда ни внешний стимул, спровоцировавший воспоминание, ни извлеченная из памяти энграмма не получают отражения в сознании и возникшая эмоциональная реакция кажется субъекту беспричинной (Костандов, 1983).

На популяционном уровне роль побуждающих и подкрепляющих факторов могут играть сигналы эмоционального состояния другой особи того же вида (см. гл. 1). На базе механизмов "эмоционального резонанса" в процессе биологической, а позднее социально-исторической эволюции сформировалась поразительная способность человека к сопереживанию, к постижению субъективного мира другого существа путем его переноса на свой собственный внутренний мир. Тем самым оказалось возможным познание тех сторон действительности, которые в принципе недоступны дискурсивному мышлению, опирающемуся на систему вербализуемых понятий.

Переключающая функция эмоций. Если до сих пор мы рассматривали роль эмоций в формировании одиночного условного рефлекса, то теперь необходимо перейти к участию положительных и отрицательных эмоций в определении вектора поведения в случае конкуренции врожденных и приобретенных поведенческих актов, направленных на удовлетворение различных потребностей человека и животных.

Казалось бы, ориентация поведения на первоочередное удовлетворение той или иной потребности могла осуществиться путем непосредственного сопоставления силы (величины) этих потребностей. Но в таком случае конкуренция мотивов оказалась бы изолированной от условий окружающей субъекта среды. Вот почему конкурируют не потребности, а порождаемые этими потребностями эмоции, которые, как мы показали выше, зависят не от одной лишь потребности, но и от вероятности (возможности) ее удовлетворения. "Следует признать, по-видимому, - пишет А. С. Батуев, - что система эмоций - это единственная организация, способная осуществлять оценку степени релевантности действий организма в соответствии с доминирующей мотивацией и прогнозируемой вероятностью ее удовлетворения" (Батуев, 1980, с. 639). Иными словами, в процессе эволюции эмоции возникли и сформировались в качестве своеобразной "валюты" мозга, универсальной меры ценностей, сами по себе этой ценностью не обладая. Здесь наблюдается аналогия с функцией денег. Представляют ли деньги ценность для человека? Разумеется, да: ведь человек может стремиться к ним, старается их накопить, увеличить их количество и т. п. Но мы знаем, что дело не в банкнотах и монетах, а в их покупательной способности.

Далее, нужда в измерении ценностей возникает только при необходимости сопоставления разных ценностей. Если бы. существовало нечто единственно ценное, то измерять его не было бы никакой нужды. Вот почему функция эмоций не сводится к простому сигнализированию воздействий, полезных или вредных для организма, как полагают сторонники "биологической теории эмоций". Воспользуемся примером, который приводит П. К. Анохин (1964, с. 342), а позднее - Дж. Экклс (Eccles, 1980, с. 120). При повреждении сустава чувство боли ограничивает двигательную активность конечности, способствуя репаративным процессам. В этом интегральном сигнализировании "вредности" П. К. Анохин видел приспособительное значение боли. Однако аналогичную роль мог бы играть механизм, автоматически, без участия эмоций тормозящий движения, вредные для поврежденного органа. Чувство боли оказывается более пластичным механизмом: когда потребность в движении становится очень велика (например, при угрозе самому существованию субъекта), движение осуществляется невзирая на боль.

Будучи мерой ценности, эмоции не являются ценностью сами по себе. Человек не может стремиться к удовольствию как таковому, потому что существуют разные удовольствия. Если мы имеем дело не с мазохистом или религиозным фанатиком, а с нормальным, психически здоровым субъектом, он, разумеется, не стремится максимизировать свои отрицательные эмоции. Вопрос стоит совершенно в иной плоскости: какие именно потребности, какие мотивы вступают в конкурентную борьбу "в доспехах" положительных и отрицательных эмоций?

В качестве решающего доказательства самоценности эмоций Б. И. Додонов (1978, 1983) приводит якобы парадоксальное с позиций информационной теории стремление человека к повторному переживанию отрицательных эмоций в условиях информационного дефицита. Речь идет о всякого рода риске, острых ощущениях, намеренном создании критических ситуаций. Однако более тщательный анализ этих ситуаций показывает, что, создавая их, человек все же рассчитывает на благоприятный исход (повторяем, если он не самоубийца и психически нормален). Субъект намеренно создает дефицит прагматической информации, низкую вероятность достижения цели, чтобы в финале получить максимальный прирост вероятности, т. е. опять-таки положительные эмоции, а не просто старается лишний раз испытать страх или отчаяние. В приведенной в качестве примера поэтической цитате "поставить в радостной надежде на карту все, что приобрел с трудом" Б. И. Додонов явно не обратил внимания на значение "радостной надежды".

С физиологической точки зрения эмоция есть активное состояние системы специализированных мозговых структур, побуждающее изменить поведение в направлении минимизации или максимизации этого состояния. Поскольку положительная эмоция свидетельствует о приближении удовлетворения потребности, а отрицательная эмоция - об удалении от него, субъект стремится максимизировать (усилить, продлить, повторить) первое состояние и минимизировать (ослабить, прервать, предотвратить) второе. Этот гедонистический принцип максимизации - минимизации, равно применимый к человеку и животным, позволяет преодолеть кажущуюся недоступность эмоций животных для непосредственного экспериментального изучения.

Решающим критерием наличия у животного эмоции, а не какого-либо иного феномена высшей нервной деятельности является, по-нашему глубокому убеждению, отношение самого животного к своему состоянию. Прямое раздражение мозга электрическим током, как никакой иной методический прием, позволяет выявить положительное эмоциональное состояние, которое животное стремится максимизировать, т. е. усилить, продлить, повторить, или отрицательное эмоциональное состояние, которое животное стремится минимизировать, т. е. ослабить, прервать, предотвратить. Подчеркнем, что эмоцию у животного следует идентифицировать не по характеру внешнего фактора (пища может вызвать отвращение у сытого субъекта, а разрушительный наркотик - удовольствие), но по деятельному, выявляющемуся в поведении отношению к своему состоянию. Именно этот поведенческий критерий, а не экспрессия в виде оскала зубов, виляния хвостом, вокализации и т. п. служит для экспериментатора решающим указанием на отсутствие или наличие эмоционального состояния, на его положительную или отрицательную окраску.

Переключающая функция эмоций обнаруживается как в сфере врожденных форм поведения, так и при осуществлении условнорефлекторной деятельности, включая ее наиболее сложные проявления. Надо лишь помнить, что оценка вероятности удовлетворения потребности может происходить у человека не только на осознаваемом, но и на неосознаваемом уровне. Ярким примером неосознаваемого прогнозирования служит интуиция, где оценка приближения к цели или удаления от нее первоначально реализуется в виде эмоционального "предчувствия решения", побуждающего к логическому анализу ситуации, породившей эту эмоцию (Тихомиров, 1969). Именно в момент появления идеи решения, еще не оформленной в гипотезу, доступную проверке, автор зарегистрировал максимальное падение сопротивления кожи электрическому току. По мнению О. К. Тихомирова, эмоциональная активация связана с выявлением зоны поиска, где может быть найдено решение мыслительной задачи (Тихомиров, 1984).

Переключающая функция эмоций особенно ярко обнаруживается в процессе конкуренции мотивов, при выделении доминирующей потребности, которая становится вектором целенаправленного поведения. Так, в боевой обстановке борьба между естественным для человека инстинктом самосохранения и социальной потребностью следовать определенной этической норме переживается субъектом в форме борьбы между страхом и чувством долга, между страхом и стыдом. Зависимость эмоций не только от величины потребности, но и от вероятности ее удовлетворения чрезвычайно усложняет конкуренцию сосуществующих мотивов, в результате чего поведение нередко оказывается переориентированным на менее важную, но легко достижимую цель: "синица в руках" побеждает "журавля в небе". Постоянная угроза такой переориентации потребовала от эволюции формирования специального мозгового аппарата, способного купировать эту "ахиллесову пяту" эмоций в виде "рефлекса свободы" (потребности преодоления встретившихся препятствий), открытого И. П. Павловым. На уровне высшей нервной деятельности человека "рефлекс свободы" предстает перед нами в качестве физиологических механизмов воли.

Компенсаторная (замещающая) функция эмоций. Будучи активным состоянием системы специализированных мозговых структур, эмоции оказывают влияние на другие церебральные системы, регулирующие поведение, процессы восприятия внешних сигналов и извлечения энграмм этих сигналов из памяти, вегетативные функции организма. Именно в последнем случае особенно наглядно обнаруживается компенсаторное значение эмоций.

Дело в том, что при возникновении эмоционального напряжения объем вегетативных сдвигов (учащение сердцебиений, подъем кровяного давления, выброс в кровяное русло гормонов и т. д.), как правило, превышает реальные нужды организма. По-видимому, процесс естественного отбора закрепил целесообразность этой избыточной мобилизации ресурсов. В ситуации прагматической неопределенности (а именно она так характерна для возникновения эмоций), когда неизвестно, сколько и чего потребуется в ближайшие минуты, лучше пойти на излишне энергетические траты, чем в разгар напряженной деятельности - борьбы или бегства - остаться без достаточного обеспечения кислородом и метаболическим "сырьем".

Но компенсаторная функция эмоций отнюдь не ограничивается гипермобилизацией вегетатики. Возникновение эмоционального напряжения сопровождается переходом к иным, чем в спокойном состоянии, формам поведения, принципам оценки внешних сигналов и реагирования на них. Физиологически суть этого перехода можно определить как возврат от тонко специализированных условных реакций к реагированию по принципу доминанты А. А. Ухтомского. В. П. Осипов (1924) не случайно назвал "эмоциональной" именно первую стадию выработки условного рефлекса - стадию генерализации, которая по своим поведенческим, электрофизиологическим и микроструктурным характеристикам обнаруживает поразительное сходство с аналогичными проявлениями доминанты (Павлыгина, 1973).

Эмоционально возбужденный мозг начинает реагировать на широкий круг предположительно значимых сигналов, чье истинное значение, соответствие или несоответствие реальной действительности выясняется лишь позднее по мере сопоставления с этой действительностью. Здесь роль эмоций в индивидуальной творчески-поисковой деятельности мозга напоминает роль эмоционального стресса в эволюции мира живых существ, где стресс усиливает разнообразие подлежащего отбору генетического материала (Беляев, 1979, 1981).

Если процесс упрочения условного рефлекса сопровождается уменьшением эмоционального напряжения и одновременно переходом от доминантного (генерализованного) реагирования к строго избирательным реакциям на условный сигнал, то возникновение эмоций ведет к вторичной генерализации. "Чем сильнее становится потребность, - пишет Ж. Нюттен (1975, с. 89), - тем менее специфичен объект, вызывающий соответствующую реакцию". При этом усиление потребности скорее повышает реактивность к внешним стимулам, чем просто усиливает двигательное беспокойство. В информационно обедненной среде двигательная активность голодных крыс возрастала всего на 10%, в то время как в обычных условиях она увеличивалась в четыре раза. Нарастание эмоционального напряжения, с одной стороны, расширяет диапазон извлекаемых из памяти энграмм, а с другой стороны, снижает критерии "принятия решения" при сопоставлении этих энграмм с наличными стимулами. Так, голодный человек начинает воспринимать неопределенные стимулы в качестве ассоциирующихся с пищей. Причем количество пищевых ассоциаций сперва нарастает, а через сутки депривации уменьшается. Полагают, что на этом этапе обнаруживается влияние механизма психологической защиты, который подавляет беспочвенные фантазии и переключает активность субъекта на поиск в более перспективном направлении (Levine, Chein, Murphy, 1942). Экспериментально показано, что тип ответа на нейтральный слайд в ряду эмоциональных (изменение частоты сердцебиений и плетизмограммы головы) зависит от степени тревожности субъекта. Чем сильнее тревога, тем чаще субъект отвечает на нейтральный слайд как на аверсивный (Hare, 1973). Физиологической основой подобного реагирования мы считаем активирование и усиление функционального значения обратных условных связей. В опытах на собаках оборонительное возбуждение животного ведет к нарастанию межсигнальных реакций и объективных проявлений обратных связей в системе двигательных оборонительных условных рефлексов (Иоффе, Самойлов, 1972).

Совершенно очевидно, что предположительное доминантное реагирование целесообразно только в условиях прагматической неопределенности. При устранении этой неопределенности субъект может превратиться в "пуганую ворону, которая и куста боится". Вот почему эволюция сформировала механизм зависимости эмоционального напряжения и характерного для него типа реагирования от размеров дефицита прагматической информации, механизм элиминирования отрицательных эмоций по мере ликвидации информационного дефицита. Подчеркнем, что эмоция сама по себе не несет информации об окружающем мире, недостающая информация пополняется путем поискового поведения, совершенствования навыков, мобилизации хранящихся в памяти энграмм. Компенсаторное значение эмоций заключается в их замещающей роли.

Что касается положительных эмоций, то их компенсаторная функция реализуется через влияние на потребность, инициирующую поведение. В трудной ситуации с низкой вероятностью достижения цели даже небольшой успех (возрастание вероятности) порождает положительную эмоцию воодушевления, которая усиливает потребность достижения цели согласно правилу, вытекающему из формулы эмоций.

Положительные эмоции побуждают живые существа нарушать достигнутое "уравновешивание с окружающей средой". Стремясь к повторному переживанию положительных эмоций, живые системы вынуждены активно искать неудовлетворенные потребности и ситуацию неопределенности, где полученная информация могла бы превысить ранее имевшийся прогноз. Именно положительные эмоции позволяют дифференцировать потребности на две основные категории: потребности сохранения (нужды) и потребности развития (роста), которым в литературе соответствуют представления о побуждении и желании, о двух разновидностях мотиваций - отрицательных и положительных (аппетит).

Примером компенсаторной функции эмоций на популяционном уровне может служить подражательное поведение. Переход к имитационному поведению чрезвычайно характерен для эмоционально возбужденного мозга. В сущности, это частный случай доминантного реагирования на сигналы с малой (проблематичной) вероятностью их подкрепления, в данном случае на сигналы, исходящие от других особей. Когда субъект не располагает данными или временем для самостоятельного и вполне обоснованного решения, ему остается положиться на пример других членов сообщества. Поскольку целесообразность приспособительных реакций относительна, имитационное поведение далеко не всегда является оптимальным; а в случае массовой паники нередко ведет к катастрофическим последствиям.

Таков самый краткий обзор регуляторных - переключающих, подкрепляющих, компенсаторных - функций эмоций на индивидуальном и популяционном уровнях. Мы стремились показать, что регуляторные функции эмоций непосредственно вытекают из их отражательно-оценочной функции, обусловлены ею. В отличие от концепций, оперирующих категориями "отношение", "значимость", "смысл" и т. п., информационная теория эмоций точно и однозначно определяет ту объективно существующую реальность, тот "эталон", который получает субъективное отражение в эмоциях человека и высших животных: потребность и вероятность (возможность) ее удовлетворения. Именно эти два фактора делают события "значимыми" для субъекта, придают им "личностный смысл" и побуждают субъекта не только переживать, но и выражать, действенно реализовать свое "отношение" к окружающему миру и самому себе.

Нейроанатомия эмоций. Сведения о мозговых структурах, непосредственно ответственных за возникновение и реализацию эмоциональных реакций, были получены на животных с помощью разрушения или стимуляции определенных отделов мозга, а у человека - в связи с поражением этих отделов патологическим процессом, будь то опухоль, кровоизлияние, эпилептический очаг и т. п.

Среди различных мозговых образований наиболее "эмоциогенными" оказались передние и височные отделы новой коры, гиппокамп, ядра миндалевидного комплекса и гипоталамус, причем в последние годы накопилось большое количество данных о функциональной асимметрии больших полушарий головного мозга, в том числе относительно регуляции эмоций.

Значение передних отделов новой коры отмечено уже у высших животных. Так, удаление 9-го и 10-го поля префронтальной коры усиливает агрессивность гамадрилов, а поля 47-го-их боязливость и страх (Панина, 1983). Зона, повреждение которой наиболее существенно сказывается на агрессивности резусов, локализована в заднемедиальной части орбитальной коры (Butter, Snyder, Me Donald, 1970). По данным А. И. Шумилиной (1950), удаление лобных областей коры препятствует развитию экспериментального невроза у собак.

Временное выключение левого полушария односторонним электросудорожным припадком ведет к ухудшению настроения больного, а правого - к его улучшению (Деглин, 1973). Этот эффект особенно характерен для височных областей и менее - для лобных. При выключении лобных областей как справа, так и слева в 16% случаев возникает эмоциональная тупость, апатия, безразличие к окружающему (Трауготт, 1979). Больные с поражением левого полушария тревожны, озабочены своим состоянием и своим будущим. При правостороннем поражении больные легкомысленны и беспечны (Брагина, Доброхотова, 1977). Нарушение оценки своего состояния, преобладание положительных эмоций отмечено при поражении медиальных отделов правой лобной доли (Филиппычева, Фаллер, 1978). Поражение левой лобной доли снижает оценку своего состояния, усиливает фиксацию больного на своих переживаниях (Ольшанский, 1979). По данным Э. А. Костандова с соавторами, эмоциональное состояние благодушия, беспечности, безответственности, возникающее под влиянием алкоголя, связано с его преимущественным действием на правое полушарие мозга (Костандов, Арзуманов, Генкина, Рещикова, Шостакович, 1981). В. Л. Деглин (1973) предположил, что депрессивное состояние больных определяется повышенным тонусом субдоминантного (правого у правшей) полушария, а маниакальное состояние - активацией левого полушария. Действительно, по данным исследования постстимульной слуховой адаптации, снижение настроения у больных маниакально-депрессивным психозом сопровождается высоким тонусом правого полушария, а повышение настроения - высоким тонусом левого. Нормализация настроения ведет к выравниванию активности обоих полушарий (Асадова, 1985).

Разумеется, было бы упрощением думать, что "центры" положительных эмоций локализованы в левом полушарии, а "центры" отрицательных эмоций - в правом. Тогда чем же объясняется эмоциональная асимметрия больших полушарий мозга? Одна из наиболее правдоподобных трактовок принадлежит Л. Р. Зенкову (1978). По мысли автора, выключение левого полушария делает ситуацию непонятной, невербализуемой, а потому - эмоционально отрицательной. Выключение правого полушария, напротив, делает ситуацию упрощенной, ясной, что ведет к преобладанию положительных эмоций: "...эмоциональные эффекты, возникающие при дифференцированных воздействиях на мозговые полушария, являются следствием информационных процессов, а не собственно эмоциогенных механизмов" (Зенков, 1978, с. 745).

В настоящее время разработано множество экспериментальных приемов для исследования функциональной, в том числе эмоциональной, асимметрии полушарий. Демонстрация фильмов разного содержания в правом и левом поле зрения с помощью контактных линз показала, что правое полушарие преимущественно связано с оценками неприятного, ужасного, а левое - с приятным и смешным (Dimond, Farrington, Johnson, 1976). Время реакции (регистрировали электроокулограмму) оказалось существенно меньшим при предъявлении слайдов с выражением радости в правом поле зрения, чем в левом, а при выражении печали соотношение было обратным (Reuter-Lorenz, Davidson, 1981). Впрочем, другие исследования свидетельствуют о более сложном участии полушарий в процессе опознания, нежели однозначная специализация на положительных и отрицательных эмоциях. Так, опознание эмоционально выразительных лиц происходит быстрее при их предъявлении в левом зрительном поле независимо от выражения счастья, горя или гнева (Suberi, McKeever, 1977). Распознавание эмоциональной окраски голоса улучшается (сокращается латентный период) при выключении левого полушария независимо от характера эмоции (Балонов, Деглин, 1976). Авторы полагают, что между полушариями существуют тонические тормозные регулирующие взаимоотношения. Тахистоскопическое предъявление нейтрального, счастливого и грустного лица на 5° влево или вправо от точки фиксации не выявило межполушарных различий. Вместе с тем оказалось, что правое полушарие лучше реагирует при наличии четкого признака эмоции, а левое - в конфликтной ситуации, требующей анализа и обоснованного решения (Buchtel, Campari, De Risio, Rota, 1976). Подача текста, где содержание не совпадает с эмоциональной окраской речи, на левое ухо ведет к предпочтению тона, а на правое - к предпочтению содержания. Если испытуемых просили оценивать и содержание и тон, более точные ответы зарегистрированы при прослушивании правым ухом. Этот опыт наглядно показывает, что участие левого (вербального) полушария делает более совершенной работу правого даже при анализе невербальных (интонационных) признаков эмоций (Safer, Leventhal, 1977).

Функциональная асимметрия полушарий проявляется и при регистрации экспрессивных компонентов эмоций, будь то движения глаз или электрическая активность мимической мускулатуры. Эмоциональное напряжение, вызванное волнующими субъекта вопросами, ведет к нарастанию частоты движений глаз влево, что свидетельствует об активации правого полушария (Schwartz, Davidson, Maer, 1975; Tucker, Roth, Arneson, Buckingam, 1977). Положительные эмоции сопровождаются более сильной электрической активностью m. zygomatic справа, чем слева. При произвольном воспроизведении эмоциональной мимики электромиограмма m. corrugator не зависела от знака эмоции: она всегда была больше слева, чем справа (Schwartz, Ahern, Brown, 1979). Преимущественная зависимость эмоциональной мимики от правого полушария обнаружилась и в случае предъявления фотографий, склеенных из двух правых или двух левых половинок. Эмоциональное состояние лиц на левосторонних фотографиях оценивалось наблюдателями как более интенсивное (Sackeim, Gur, 1978).

Уточнению вопроса о роли полушарий в восприятии эмоциональных стимулов содействует изучение электрической активности мозга. Судя по электроэнцефалограмме при положительных эмоциях сильнее активируется фронтальная область левого полушария. При отрицательных эмоциях - фронтальная область правого. Что касается париетальной области, то при любых эмоциях она сильнее активируется справа (Davidson, Schwartz, Saron, Bennett, Goleman, 1979). А. М. Иваницкий, И. В. Курницкая и С. Собутка (1985) регистрировали корковые потенциалы при телевизионной игре в теннис. По их данным, выигрыш ведет к увеличению волны N600 в левой задней ассоциативной зоне, а проигрыш - к снижению амплитуды волны Р800 в лобной области справа. У больной с вживленными электродами регистрировали бета- веретена частотой 16-26 Гц в нижней фронтальной коре. Они появлялись в момент психического напряжения и сопровождались урежением сердечного ритма (Кашр, Schrijer, Storm van Leeuwen, 1972). Исследование вызванных потенциалов на нейтральные и эмоциональные неосознаваемые субъектом слова привело Э. А. Костандова и Ю. Л. Арзуманова (1980) к выводу о преимущественном участии правого полушария в организации "безотчетных" эмоций, причина которых субъекту неясна. Будучи источником неосознаваемой мотивации, правое полушарие оказывает влияние на осуществление осознаваемых психических функций, делая подчас загадочным для субъекта их истинное происхождение (Dimond, Farrington, Johnson, 1976). Неосознаваемое эмоциональное слово генерирует в своем последействии одностороннюю активацию правого полушария, которая выявляется при тестировании нейтральным неосознаваемым словом. Латентный период волны Р300 короче в левом полушарии, чем в правом, если эмоциональное слово осознается. При демонстрации неосознаваемого слова разницы нет. Сочетание условного зрительного сигнала с неосознаваемым эмоционально отрицательным для субъекта словом ведет к угнетению коркового ответа на этот сигнал, максимально выраженному в левой задней ассоциативной зоне, соответствующей основному речевому центру Вернике.

Э. А. Костандов (1983) считает, что в этом угнетении проявляется механизм психологической защиты от внешних воздействий, тягостных для наблюдателя.

Значительное количество работ посвящено распознаванию эмоциональной экспрессии больными с органическими поражениями мозга. При оценке результатов этих исследований нельзя забывать, что, помимо знака эмоции, здесь имеют большое значение факторы, принадлежащие собственно процессу опознания (информативность признаков, отношение сигнала к шуму и т. п.). В этом процессе правое полушарие играет преимущественную, но не исключительную роль. Так, восприятие знакомых лиц чаще страдает при двусторонних поражениях, особенно нижнезатылочных областей, а нарушения восприятия незнакомых лиц связаны с односторонними повреждениями правого полушария (Benton, 1980). Больные с поражением правого полушария узнавали знакомые лица не на основе их личностных характеристик, а по второстепенным признакам - по одежде, особенностям эмоциональной экспрессии и т. п. (Dricker, Butters, Berman, Samuels, Carey, 1978).

Многочисленные наблюдения показывают, что распознавание эмоциональной мимики в большей мере страдает при поражении правого полушария (Cicone, Wapner, Gardner, 1980; Bruger, 1981). По данным компьютерной томографии, узнавание эмоциональной мимики является функцией правополушарной височной коры (Benowitz, Bear, Rosenthal, Mesulam, Zaidel, Sperry, 1983). Но и повреждение левого полушария ухудшает эту функцию по сравнению с нормальными лицами, что можно объяснить разобщением "эмоциональных" областей правого полушария с речевыми структурами левого (De Kosky, Heilman, Bowers, Valenstein, 1980). Больные с поражением левой лобной доли допускали максимум ошибок при опознании эмоционально положительной мимики; повреждение правой лобной доли сопровождалось максимальным нарастанием ошибок при опознании отрицательных эмоций (Ольшанский, 1979).

Повреждение патологическим процессом височной доли (особенно справа) нарушает опознание эмоциональной интонации речи (Тархан, Трауготт, Меерсон, 1981). Если предъявлять для опознания эмоционально окрашенный текст, интонацию и мимику, то для больных с односторонним поражением правого или левого полушария наибольшие трудности вызывает опознание интонации. Правополушарные больные хуже различают отрицательные эмоции, для положительных эмоций меж- полушарных различий не установлено (De Bastiani, Di Palma, Monetti, Palmonari, 1983). У левополушарных больных опознание мимики нарушено больше, чем опознание интонации; особенно затруднено опознание мимики по интонационному образцу. Эти данные показывают, что в отличие от интонации зрительное восприятие мимики вербализуется и требует участия речевых зон (Сидорова, 1979).

Тонким тестом функциональной асимметрии может служить чувство юмора. Больным предлагали выбрать самую смешную из набора сюжетных картинок. Поражение правого полушария делает юмор неразборчивым: пациенты готовы смеяться по поводу любой картинки. Юмор левосторонних пациентов больше сходен с юмором здоровых (Gardner, Ling, Flamm, Silverman, 1975). X. Браунэлл с соавторами считают, что оценка вербального юмора включает в себя два компонента: 1) выделение неожиданного в повествовании и 2) сопоставление этого неожиданного с содержанием всего рассказа. У больных с поражением правого полушария сохранен первый компонент, но нарушен второй (Brownell, Michel, Powelson, Gardner, 1983).

Результаты последней работы могут служить еще одним примером вторичности эмоциональной специализации полушарий. Дело отнюдь не в том, что левое полушарие более склонно к положительным эмоциям, а по тому более "смешливо". За эмоциональностью полушарий кроются сложные информационные процессы оценки значимости внешних стимулов, сопоставление прогнозируемого с поступившим на вход. По мнению Ф. Е. Василюка (1984), трудность ситуации для субъекта оценивается путем сопоставления его более или менее сложного внутреннего мира (сферы мотиваций) с простым или сложным внешним. В самом общем виде можно сказать, что правое полушарие больше связано с мотивационными компонентами эмоций, а левое - с информационными компонентами. В пользу подобного предположения свидетельствуют и анатомические данные о преимущественной связи правого полушария с диэнцефальным отделом мозга, а левого полушария - с активирующими стволовыми образованиями (Доброхотова, Брагина, 1977). Образно говоря, человек с поражением левого полушария- это субъект с богатым набором потребностей и дефицитом средств их удовлетворения. Больной с поражением правого полушария располагает избытком средств для удовлетворения резко обедненной, суженной, упрощенной сферы мотивов. Отсюда вторично возникает склонность к преобладанию отрицательных или положительных эмоций, дурашливость, легкомыслие при альтерации правого полушария алкоголем и т. д. Наличие в структуре любой эмоции потребности и оценки перспектив ее удовлетворения наиболее логично объясняет эмоциональную асимметрию полушарий.

В любом случае поражение передних отделов новой коры ведет к наиболее сильному нарушению эмоциональной сферы человека по сравнению с другими областями неокортекса. Для повреждения лобных отделов характерны как синдром аспонтанности, эмоциональной тупости, безразличия, так и синдром растормаживания с признаками эйфории, неадекватной реальному состоянию субъекта. При этом преимущественно нарушаются высшие эмоции, связанные с деятельностью, социальными отношениями, творчеством, наряду с растормаживанием примитивных витальных влечений (Доброхотова, 1968). Характерные для эмоций сдвиги электроэнцефалограммы наиболее отчетливо выражены при отведении от лобных областей (Ковалев, Смирнов, Рабинович, 1976). При этом у лиц с доминированием положительных эмоций регистрируются альфа-ритм и медленные составляющие ЭЭГ, а у лиц с доминированием гнева-преобладает бета-активность.

Передняя лимбическая кора контролирует эмоциональную окраску речи у человека и обезьян. После двустороннего нарушения кровообращения в этой зоне речь пациента стала эмоционально невыразительной (Carmon, Jiirgens, 1983). Разнообразные эмоциональные нарушения зарегистрированы при поражении височных долей мозга (Bear, 1979). Правда, при этом каждый раз требуется уточнение, от чего зависит наблюдаемый дефект: от патологии новой коры, гиппокампа или ядер миндалевидного комплекса.

Стимуляция гиппокампа человека электрическим током не сопровождается ни страхом, ни гневом, ни удовольствием. Зарегистрированы только спутанность сознания, временная потеря контакта с врачом и эпизодически- страх в виде вторичной эмоциональной реакции субъекта на расстройство восприятия окружающего мира (Смирнов, 1976). Двусторонний инсульт в области гиппокампа вызвал нарушения овежей памяти, не затронув эмоциональные реакции больного (De Jong, Itabashi, Olson, 1969). В. М. Окуджава с сотрудниками пришел к выводу о том, что в случае эпилептического очага в гиппокампе аффективные нарушения возникают за счет распространения судорожного разряда на миндалину (Сараджишвили, Чхенкели, Окуджава, 1977). Поданным С. В. Мадорского (1985), поражение правого гиппокампа дает сдвиг в сторону интроверсии, а левого - в сторону экстраверсии при тестировании пациентов с помощью вопросника Айзенка. Деструкция гиппокампа ведет к преимущественному реагированию на сигналы высоковероятных событий: вербальных - при сохранении левого гиппокампа и невербальных - при сохранении правого. Эту особенность человеческого мозга необходимо учитывать при сопоставлении результатов, полученных в клинике или в эксперименте на животных. Так, регистрация десинхронизации электрической активности в гиппокампе человека при умственном напряжении и парадоксальном сне привела к выводу об отсутствии у человека аналога гиппокампального тета-ритма животных (Halgren, Babb, Crandall, 1978). Однако дальнейшие исследования показали, что возрастание частоты, амплитуды и регулярности тета-ритма можно обнаружить и в гиппокампе человека, но только при адекватных для него словесных операциях и письме (Arnolds, Aitink, Bocyinga, Lopes da Silva, 1979). В заключение можно сказать, что гиппокамп относится скорее к "информационному", чем "эмоциональному", образованию головного мозга, его связь с эмоциями носит вторичный и опосредованный характер.

Более эмоциогенны ядра миндалевидного комплекса.

В. М. Смирнов (1976) отметил, что при стимуляции ядер миндалины пациенты сообщают о возникновении состояний страха, гнева, ярости, изредка - удовольствия. Длительная стимуляция миндалины у больных эпилепсией частотой 50-100 Гц вызывает эмоционально окрашенные воспоминания, чаще всего воспоминания детства, начиная с 5-6 лет, причем повторные раздражения вызывают, как правило, воспоминания об одних и тех же событиях (Fernandez-Guardiola, 1977). При раздражении миндалины зарегистрированы галлюцинации, страх, тревога, висцеральные ощущения в желудке, причем эти эффекты зависели не столько от локализации электродов, сколько от личностных особенностей больных. Субъекты, сообщавшие о страхе, имели высокий индекс по шкале психастении теста MMPI, а больные с галлюцинациями - по шкале шизофрении (Halgren, Walter, Cherlow, Crandall, 1978). У пациентов с вживленными электродами высокочастотная активность в миндалине нарастала, когда они обсуждали эмоционально окрашенные события (Eidelberg, Woodbury, 1972). Эпилептическая активность зарегистрирована в дорсомедиальной части миндалины у больных височной эпилепсией, склонных к агрессивности.

Деструкция этого отдела делает пациента неагрессивным (Сараджишвили, Чхенкели, Окуджава, 1977).

Филогенетически молодой базолатеральный отдел миндалины, связанный в левом полушарии с речевыми структурами новой коры, вовлекается в формирование сложных мотиваций. При его поражении начинают преобладать потребности сохранения, эмоции тревоги и страха. Кортикомедиальный отдел, имеющий связи с древними структурами гипоталамуса, ответствен за более примитивные витальные потребности. Иными словами, патология миндалины сказывается на силе и направленности мотиваций. Одновременное поражение миндалины и гиппокампа справа ведет к более выраженным нарушениям эмоций, чем левосторонний патологический процесс, а двустороннее повреждение височной доли ослабляет различие между объективно регистрируемыми симптомами положительных и отрицательных эмоций (Мадорский, 1981).

При раздражении электрическим током переднего и заднего отделов гипоталамуса наблюдаются реакции тревоги и ярости (Смирнов, 1976). Если стереотаксическое вмешательство в интергеникулярной области таламуса устраняет только агрессивность, вызванную галлюцинациями, то воздействие на гипоталамус делает пациента неагрессивным при любых провоцирующих стимулах, что позволяет говорить о локализации в гипоталамусе исполнительных эмоциональных центров, ответственных за организацию соматических и вегетативных компонентов агрессивной реакции - "executive command system" (Nadvornik, Ondrejcakova, 1984).

При раздражении мезэнцефального отдела ствола и неспецифического таламуса возникают состояния повышенной активации или инактивации (Смирнов, 1976). Активационные состояния имеют положительную эмоциональную окраску, реже активно-отрицательную (гнев, злоба, но не тоска и печаль). Инактивационные состояния характеризуются успокоением и безразличием. Возникающие при этих двух функциональных состояниях ощущения необычной "легкости тела" или его "тяжести" не удалось непосредственно связать с изменениями мышечного тонуса или вестибулярных функций.

Помимо перечисленных выше эмоциональных состояний, пациенты В. М. Смирнова сообщали о кратковременных реакциях, возникавших в момент электрического раздражения. К ним относятся: чувство растерянности, недоумения (мезэнцефальные отделы ствола, субталамус, ретикулярное таламическое ядро); страх, причина которого субъекту неясна или связана с эмоциональной реакцией на соматические сдвиги (лимбикоретикулярная система); удовольствие в виде приятных, не всегда точно квалифицируемых ощущений; немотивированная радость, возникающая при стимуляции срединного центра таламуса, бледного шара, мезэнцефального отдела ствола. У больных с поражением мезэнцефально-диэнцефальных структур отмечены нарушения речи в результате дефекта мотивации: недостаточного побуждения к высказыванию, хотя сама речь у этих больных сохранена (Винарская, Мичурина, Никифоров, Носиков, 1980).

Стимуляция перегородки сопровождается, по данным В. М. Смирнова (1976), переживанием эйфории, наслаждения, полового возбуждения, общего подъема настроения, а раздражение структур среднего мозга вызывает широкий спектр эмоций - от гнева и напряжения до полового возбуждения с выраженной положительной окраской.

Заканчивая обзор имеющихся в литературе данных, подчеркнем, что результаты раздражения или деструкции различных мозговых образований, равно как регистрация их электрической активности, позволяют говорить только о том, что данное образование каким-то образом вовлечено в реализацию наблюдаемой эмоциональной реакции. Анализ полученных таким путем данных осложняется еще и тем обстоятельством, что состав вовлеченных в реакцию мозговых структур меняется в зависимости от силы эмоции, состояния пациента, изменений внешней обстановки и т. п. (Бехтерева, 1980). Для более конкретного суждения о специфическом вкладе каждого мозгового образования в генез и осуществление данной эмоции необходимо рассмотреть роль этого образования в интегративной деятельности мозга, в организации целостного поведенческого акта с учетом других функций, присущих интересующей нас структуре. Как тут ни вспомнить справедливое замечание К. Уилкис о том, что неудача наложения психических функций на локальные мозговые структуры обусловлена неадекватным выбором самих функций (см.: Келле, Налетов, Соколов, 1984). Если учесть, что любая эмоция включает в свою внутреннюю организацию актуализированную потребность, оценку возможностей ее удовлетворения, мобилизацию следов (энграмм) тех внешних объектов, которые способны эту потребность удовлетворить, активацию структур, непосредственно реализующих данное эмоциональное состояние, и т. д., станет ясно, сколь сложны и неоднородны должны быть функции мозговых образований, участвующих в порождении и осуществлении эмоциональной реакции на то или иное значимое для субъекта событие. Абстрагируясь от этой реальной сложности, мы остаемся лишь регистраторами фактов, описывающими психофизиологические корреляты эмоций без проникновения в их подлинные механизмы.

Нейрохимия эмоций. Данные о нейрохимических основах эмоциональных реакций столь же многочисленны, сколь и противоречивы. Попытки возложить ответственность за реализацию определенных эмоций (например, положительных или отрицательных) на какую-либо из медиаторных систем, как правило, тонут в этих противоречиях. Если одни авторы приходят к выводу о том, что серотонинергическая система представляет ведущее звено в обучении на эмоционально положительном подкреплении (пища), а норадренергическая - на эмоционально отрицательном, болевом (Семенова, Векшина, 1977), то другие сообщают факты прямо противоположного порядка. Так, нажимая на рычаг, крысы выключали аверсивную стимуляцию покрышки среднего мозга. Ингибиторы синтеза катехоламинов не влияли на реакцию, а снижение уровня серотонина уменьшало скорость нажатия на рычаг, что привело авторов к выводу о зависимости отрицательных эмоций от серотонина и независимости от катехоламинов (Kiser, Lebovitz, 1975).

В настоящее время сложилось мнение о том, что в реализации любой эмоции участвуют все основные нейромедиаторные системы: норадренергическая, холинергическая, серотонинергическая, дофаминергическая плюс целый ряд нейропептидов, включая эндогенные опиаты. Такая точка зрения тем более правдоподобна, если вспомнить о сложной внутренней организации эмоций, о наличии потребностно-мотивационных, информационных и собственно подкрепляющих компонентов, не говоря уже об эффекторных - двигательных и вегетативных проявлениях эмоциональной реакции.

Хорошей экспериментальной моделью для изучения нейрохимии эмоций может служить феномен самораздражения мозга животных электрическим током. Было время, когда полагали, что феномен самостимуляции аналогичен мнимому кормлению, т. е. имитирует удовлетворение естественных потребностей животного путем активации "центров насыщения", "центров утоления жажды" и т. п. Однако далеко не все факты поддаются такому объяснению. Голод и жажда могут влиять, а могут и не влиять на самораздражение структур головного мозга. В латеральном гипоталамусе имеются нейроны, импульсная активность которых при самостимуляции воспроизводит импульсную активность при пищевом подкреплении голодного животного. Однако самораздражение прилегающего ядра такого эффекта не дает (Sasaki, Ono, Nishino, 1983). В том же латеральном гипоталамусе можно найти нейроны, чья активность тормозится как при еде, так и при самораздражении медиального переднемозгового пучка. Активность других нейронов тормозится только при еде и усиливается при самостимуляции. По-видимому, нейроны первого типа связаны с механизмами мотивации, а нейроны второго типа - с механизмами эмоционально-положительного подкрепления (Sasaki, Ono, Muramoto, Nishino, Fukuda, 1984). Тот факт, что холидистокинин угнетал самораздражение независимо от степени голода, свидетельствует скорее об его аверсивных качествах, чем об имитации насыщения (Ettenberg, Koob, 1984).

Механизм, побуждающий животное вновь и вновь нажимать на педаль, связан скорее не с голодом, жаждой и т. д., но со следовым возбуждением структур эмоционально положительного подкрепления, активированных в момент действия тока. Непродолжительность этого следового возбуждения объясняет и сравнительную легкость угашения реакций при их неподкреплении, и необходимость "затравочных" стимуляций у животных, обученных нажимать на педаль. Дж. Олдс (Olds, 1976) сравнивал феноменологию самораздражения не с голодом, а со стремлением к вкусной пище. Крысы могут стимулировать структуры голода и жажды, но только при наличии пищи и воды в экспериментальной обстановке, когда высокая вероятность удовлетворения натуральных потребностей гарантирует возникновение положительных эмоций в процессе еды и питья. Что касается прерывания стимуляции, то в зависимости от локализации электрода и параметров тока она может быть обусловлена как привыканием к действию тока, так и вовлечением механизмов отрицательных эмоций (Звартау, Паткина, 1972; Григорьян, 1978).

Пункты самостимуляции совпадают с локализацией норадренергических и дофаминергических структур, непосредственно вовлеченных в феномен самораздражения. Участие холинергических механизмов носит опосредованный характер, причем подавление никотин-холинергических элементов усиливает самораздражение при неповрежденной катехоламиновой системе (German, Bowden, 1974). Подчеркнем, что участие норадренергической системы в механизмах самостимуляции не связано с актуализацией натуральных потребностей животного в пище, воде и т. п. Введение дисульфирама, резко снижающее уровень норадреналина в мозге крыс, устраняет консуматорные эффекты стимуляции (еда, питье, грызение), повышая частоту самораздражений и снижая порог самостимуляции (Михайлова, Стайкова, Черешаров, 1979). По данным С. А. Борисенко (1977), фенамин и кокаин облегчают самораздражение гипоталамуса и перегородки, одновременно подавляя пищевые и питьевые реакции животного.

Норадреналин облегчает, а серотонин подавляет самораздражение латерального гипоталамуса у крыс, причем трудно сказать, чем именно определяется влияние серотонина: его тормозными свойствами или причастностью к механизмам отрицательных эмоций, к системе "наказания" (Stein, Wise, 1974). Ряд данных свидетельствует об участии в реакции самораздражения дофаминергических структур (Van Wolfswinkel, Van Ree, 1984). Введение 6-оксидофамина в зону восходящих мезокортикальных дофаминергических волокон полностью прекращает самостимуляцию префронтальной коры у крыс (Clavier, Gerfen, 1979). Л-ДОФА восстанавливает самостимуляцию после введения резерпина. Апоморфин восстанавливает двигательную активность, но не самораздражение. Эти данные говорят о том, что дофаминергическая система связана не с двигательной реакцией крысы, нажимающей на педаль, но с механизмом подкрепления движений активацией эмоционально позитивных элементов (Vander-Wolf, Gutman, Baker, 1984).

Итак, феномен самораздражения реализуется с участием двух основных медиаторных систем: норадренергической и дофаминергической. Можно предполагать, что норадреналин связан с побуждающими, мотивирующими компонентами этой реакции, а дофамин - с подкрепляющим, "награждающим" эффектом. Замечу, что, по мнению X. Маттиеса (Matties, 1982), подкрепляющая функция эмоций реализуется через дофаминергическую систему, обеспечивая долговременную память.

О преимущественном отношении норадреналина к механизмам мотивации свидетельствует и тот факт, что норадреналин возбуждает большую часть нейронов гипоталамуса у сытых крыс и тормозит у голодных (Dean, Dyer, 1984). Введение норадреналина в перифорникальную область передней части латерального гипоталамуса можно сделать подкрепляющим фактором для обучения сытых крыс предпочитать один из рукавов лабиринта. Дело в том, что норадреналин побуждал крыс есть, вторично активируя механизм положительных эмоций, связанных с актом еды, и делал привлекательными для животного пищевые стимулы (Cytawa, Jurkowlaniec, 1978; Cytawa, Jurkowlaniec, Bialowas, 1980). Интересно, что в отличие от гипоталамуса введение норадреналина в дорсомедиальную часть миндалины могло служить подкреплением для выработки условного рефлекса только у голодных крыс и теряло эти свойства у сытых (Jurkowlaniec, Bialowas, 1981). Мы склонны объяснять этот эффект следующим образом. При введении в миндалину норадреналин сохраняет свои побуждающие функции, но в отличие от гипоталамуса проявляет их только в отношении доминирующей, ранее актуализированной потребности, в данном случае голода.

Роль холинергической системы отчетливо проявляется в агрессивном поведении животных (Закусов, 1972), причем холинергический триггерный механизм агрессии испытывает на себе модулирующее влияние других медиаторных систем, в том числе норадреналина (Johansson, 1974; Romaniuk, Golebiewski, 1979). По мнению А. Х. Алликметса (Allikmets, 1974) норадреналин ответствен за эффекторные проявления агрессии. Иными словами, он сохраняет свои побуждающие свойства и в отношении оборонительного поведения. При сочетании звука с ударами тока введение адреналина позволяет выработать условный рефлекс у крыс, находящихся под пентобарбиталовым наркозом (Weinberger, Gold, Sternberg, 1984). Что касается холинергической системы, то она преимущественно обеспечивает информационные компоненты поведения. Показано, что холинолитики влияют на пищедобывательные действия животного, на преодоление препятствий, на выбор пищи, но само состояние голода сохраняется (Вальдман, Козловская, 1972). Холинолитики нарушают совершенство и точность двигательных рефлексов избегания, не устраняя реакцию на боль.

К. Нолл и Дж. Дэвис (Noll, Davis, 1982) предлагают следующую функциональную классификацию нейромедиаторных систем. Возбуждающими медиаторами положительных эмоций ("награды") являются катехоламины, отрицательных эмоций ("наказания") - ацетилхолин. Серотонин играет роль тормозного медиатора в отношении обеих систем. К мнению об универсальном тормозящем влиянии серотонина на эмоциогенные структуры присоединяются и другие исследователи (Panksepp, 1982). Ослаблением тормозного влияния серотонина склонны объяснять повышенную агрессивность. Так, агрессивные мыши имеют более низкий уровень содержания серотонина в гипоталамусе, миндалине и гиппокампе по сравнению с неагрессивными (Serri, Ely, 1984). Содержание серотонина в среднем мозге и гипоталамусе ручных лисиц в 2 раза, а в гиппокампе в 1,5 раза выше, чем у диких (Попова, 1983). Введение предшественника дофамина повышает агрессивность крыс, а введение предшественника серотонина угнетает ее. Возможно, что первый эффект объясняется блокадой серотонинергической системы (Алликметс, Жарковский, 1976). Подавление серотонинергической системы усиливает половое поведение крыс, в то время как повреждение норадрен- и дофаминергической систем нарушает механизмы половой мотивации и удлиняет постэякуляторный период (Mclutooh, Barfield, 1984). Р. Ш. Ибрагимов (1980) объясняет облегчение выработки условных пищевых рефлексов при введении серотонина в мозг его тормозным влиянием на механизмы ориентировочного рефлекса.

Представлениям об универсальном тормозном действии серотонина противоречат данные о его важной роли в процессах обучения на биологически отрицательном подкреплении. Введение p-хлорамфетамина нарушает выработку и сохранение реакций активного и пассивного избегания у крыс (Ogren, Johansson, Johansson, Archer, 1982). Исследования на моллюсках показали, что пластические изменения в центральной нервной системе связаны с увеличенным выходом серотонина из пресинаптического нейрона (Brunelli, Demontis, 1984). Серотонин участвует в ответах нейронов большого ядра шва мозга крыс на болевое раздражение (Dickenson, Goldsmith, 1984). П. М. Балабан с соавторами в опытах, поставленных в нашей лаборатории, показал, что дегенерация серотонинергических нейронов, вызванная введением 5,7-диокситриптамина, препятствует сенситизации безусловных оборонительных реакций виноградной улитки и выработке условного оборонительного рефлекса на пищевой раздражитель. С другой стороны, аппликация серотонина может быть использована в качестве подкрепления при его сочетании с пищевым стимулом. Возможно, что подкрепляющее действие серотонина связано с его влиянием на проводимость кальциевых каналов мембраны нервных клеток.

Можно предложить два объяснения противоречивым данным о роли серотонина в процессах обучения на эмоционально отрицательном (болевом) подкреплении. Первое из них сводится к тому, что серотонинергические механизмы связаны не столько с выработкой условных рефлексов, сколько с их фиксацией, с процессами консолидации следов памяти независимо от эмоциональных характеристик подкрепляющего фактора (Кругликов, 1978). Второе объяснение состоит в следующем. Условные рефлексы на эмоционально положительном подкреплении требуют специфического медиатора. Им является дофамин. Кроме того, здесь, по-видимому, участвуют энкефалинсодержащие нейроны (Stein, 1978; Cutawa, Trojniar, 1978). Лейэнкефалин облегчает реакцию самораздражения и угнетает реакцию избегания при стимуляции центрального серого вещества, а введение налоксона снижает частоту самораздражения эмоционально позитивных структур. Что касается выработки оборонительных условных рефлексов, то здесь подкреплением служит сам факт устранения эмоционально отрицательного состояния. Специальный нейрохимический фактор "награды" оказывается не нужен. Необходимо лишь закрепить, зафиксировать факт прекращения "наказания". Эту фиксирующую, стабилизирующую ("успокаивающую") роль и играет тормозный медиатор - серотонин. Не случайно нейроны околоводопроводного серого вещества, чувствительные к опиатам, существенны для обезболивающего, но не "награждающего" действия морфина (Bozarth, 1983).

Таким образом, можно предложить следующую гипотетическую схему нейрохимической организации эмоций, опирающуюся на потребностно-информационную теорию. Информационные компоненты любой эмоции реализуются главным образом за счет холинергических структур. Для побуждающих, мотивационных компонентов наиболее существенна норадренергическая система. Что касается собственно эмоционального подкрепляющего звена, то в случае положительного подкрепления им является дофамин плюс эндогенные опиаты. При эмоционально отрицательном подкреплении важную роль играет серотонин.

Данные, полученные на животных, хорошо согласуются с результатами клинических исследований. В опытах Дж. Эллисона (Ellison, 1975) снижение уровня норадреналина в мозге крыс делало их вялыми в знакомой обстановке и бесстрашными в новой, где новизна оказывалась мощным мотивирующим фактором. Снижение уровня серотонина давало обратный эффект: ослабление тормозного (стабилизирующего) влияния превращало новую ситуацию в чрезмерный, стрессирующий фактор, подавляя активность животных. Автор рассматривает эти два варианта в качестве моделей патологического состояния человека, где падение уровня серотонина порождает немотивированную тревогу, а дефицит норадреналина - депрессию. Действительно, мозг больных, покончивших с собой в состоянии депрессии, оказался обедненным как норадреналином, так и серотонином, причем дефицит норадреналина проявляется депрессией тоски, а дефицит серотонина - депрессией тревоги (Нуллер, 1981; Maas, Fawcett, Dekirmenjian, 1972; Sachar, Baron, 1979).

Для действия холинолитиков характерен психоз с преимущественным поражением интеллектуальных (информационных) процессов (Селиванова, Голиков, 1975).

Анализируя нейроанатомические и нейрохимические основы эмоций, мы убедились в том, что противоречивость имеющихся в настоящее время данных не удается преодолеть, рассматривая эмоции как автономный, замкнутый на себя феномен. Их изучение должно быть включено в более широкий контекст организации целенаправленного поведения, высшей нервной (психической) деятельности и еще шире - в контекст эволюции живой природы, а для человека - в процесс его культурно-исторического развития. Эта настоятельная необходимость и определила содержание следующей главы, где мы вынуждены вернуться к рассмотрению фактов, полученных преимущественно в опытах на животных.

Впрочем, такие переходы от экспериментов на животных к исследованиям с участием человека и обратно, представляют одну из характернейших черт творческого метода И. П. Павлова.

предыдущая главасодержаниеследующая глава











© PSYCHOLOGYLIB.RU, 2001-2021
При копировании материалов проекта обязательно ставить активную ссылку на страницу источник:
http://psychologylib.ru/ 'Библиотека по психологии'

Рейтинг@Mail.ru

Поможем с курсовой, контрольной, дипломной
1500+ квалифицированных специалистов готовы вам помочь