НОВОСТИ    БИБЛИОТЕКА    ССЫЛКИ
КРАТКИЙ ПСИХОЛОГИЧЕСКИЙ СЛОВАРЬ РАЗДЕЛЫ ПСИХОЛОГИИ
КАРТА САЙТА    О САЙТЕ


предыдущая главасодержаниеследующая глава

§ 1. Основное исследование: методы и испытуемые. Обработка данных

При разработке методов исследования эмоционально-личностной сферы здоровых и больных с локальными поражениями мозга мы исходили из нескольких принципов.

Первый относился к отбору стимульного материала - слов, изображений.

Для изучения нормы стимульный материал отбирался предварительно на другом контингенте здоровых испытуемых. В качестве "эмоциональных" слов использовались те, которые оценивались как приятные или неприятные большинством испытуемых (от 60 до 100%), в качестве "эмоциональных" изображений (картинок) отбирались те, которые оценивались таковыми подавляющим большинством испытуемых (ж80%). При отборе слов обращалось внимание на частоту их встречаемости в русском языке и на количество букв и слогов в слове. "Эмоциональные" и "нейтральные" слова уравнивались по этим параметрам. Отбирались картинки с изображением эмоций разного знака и интенсивности.

Второй принцип относился к процедуре проведения экспериментов. Для того, чтобы иметь возможность сравнивать результаты исследования здоровых и больных лиц, в экспериментах применялись сравнительно простые познавательные задачи, доступные для лиц различного уровня образования и возраста; в каждом задании использовался сравнительно небольшой объем стимульного материала (не больше 10 элементов).

Третий принцип характеризовал анализ результатов. Результаты познавательной деятельности оценивались по следующим показателям: продуктивности, скорости выполнения, устойчивости к тормозящему влиянию интерференции, числу и характеру ошибок, наличию тех или иных предпочтений по знаку и интенсивности при выполнении заданий. Сравнивались результаты выполнения задания, в котором использовались "эмоциональные" и "нейтральные" стимулы. Сопоставлялись результаты исследования нормы различного возраста и результаты исследования больных различных групп; анализировались клинические данные, использовался корреляционный анализ для выявления взаимосвязи эмоциональных нарушений, проявляющихся в различных нейропсихологических синдромах.

Эмоциональные явления изучались по особенностям выполнения трех видов познавательной деятельности: мнестической, гностической и интеллектуальной (ассоциативное мышление).

* * *

Конкретные методы исследования состояли в следующем

1. Метод отбора стимульного материала (здоровыми испытуемыми)1.

1 (Методики разработаны и апробированы Н. Я. Батовой (1985) и др.)

При отборе стимульного материала здоровым испытуемым (которые не участвовали в дальнейшем основном исследовании) предъявлялись слова и картинки. Испытуемые должны были разложить стимулы на приятные, неприятные и нейтральные.

При отборе слов были выделены следующие "эмоциональные" слова: а) связанные с ситуацией болезни - будущее, здоровье, болезнь, работа, жизнь, лечение, операция, планы, коллектив, последствия; б) слова, выражающие эмоциональные состояния - страх, тревога, радость, удивление, страдание, успех; в) слова, имеющие отношение к важной жизненной ситуации и представляющие собой названия различных эмоциональных проявлений, а именно: обида, любовь, слезы, семья, хирург. Всего 21 слово. Список "нейтральных" слов включал следующий набор: а) явление, практика, колонна, страна, время, образец, договор, форма, продукция, изобретение; б) точка, автор, почва, степь, отряд, строй, песок, сцена, аппарат, принцип, минерал, граница, крыльцо, раствор, чемодан, зеркало, гостиница, пластинка, провинция, спортсмен, делегация, интервент, коллекция, известняк; в) звезда, рукав, парта, шапка, забор, дрова, лента, туман, крыльцо, волна, труба, зерно, вокзал. Всего 47 слов. При отборе картинок использовались сюжетные изображения, отражающие эмоции, различные по знаку и интенсивности. Отбирались те рисунки, которые получили однозначные оценки (см. напр., рис. 3).

Рис. 3. Картинка, изображающая эмоциональные ситуации (положительные и отрицательные максимальной интенсивности). Стимульный материал 1, 2
Рис. 3. Картинка, изображающая эмоциональные ситуации (положительные и отрицательные максимальной интенсивности). Стимульный материал 1, 2

2. Метод оценки степени эмоциональности запоминаемых слов (здоровыми испытуемыми). Он состоял в том, что после запоминания и воспроизведения 3-х групп по 6 слов (см. ниже) каждый испытуемый должен был оценить, каким для него является слово: приятным, неприятным или нейтральным. Слова, оцененные как приятные или неприятные, считались "эмоциональными" и им приписывалось 3 балла, "нейтральным" - 2 балла. При обработке проверялась корреляция между субъективной оценкой слов по эмоциональности и эффективностью воспроизведения этих слов.

Рис. 3. Картинка, изображающая эмоциональные ситуации (положительные и отрицательные максимальной интенсивности). Стимульный материал 1, 2
Рис. 3. Картинка, изображающая эмоциональные ситуации (положительные и отрицательные максимальной интенсивности). Стимульный материал 1, 2

3. Метод запоминанияи воспроизведения 10 "эмоциональных" и 10 "нейтральных" слов. Опыт состоял в том, что испытуемому предъявляли сначала 10 "эмоциональных" слов, выделенных в предварительном эксперименте, с просьбой повторить все, что он запомнит. Потом предъявлялись 10 "нейтральных" слов с той же инструкцией1. Слова здесь и в других методиках были уравнены по длине и частоте встречаемости в русской речи (Частотный словарь русского языка, 1977). Изучалось влияние эмоционального фактора на продуктивность воспроизведения слов в условиях непосредственного воспроизведения. В качестве экспериментального материала использовались описанные выше "эмоциональные" и "нейтральные" слова группы (а).

1 (У контрольной группы здоровых испытуемых (30 человек) порядок предъявления "эмоциональных" и "нейтральных" слов был обратным.)

4. Метод запоминания и воспроизведения3-х групп по 10 слов. Каждая группа из 10 слов включала 8 "нейтральных" и 2 "эмоциональных", в том числе одно положительное и одно отрицательное слово. "Эмоциональные" слова всегда стояли на 6 и 8-м месте. Известно (см. Фресс П., Пиаже Ж., 1973), что слова, стоящие на 6 и 8-м месте в ряду из 10 слов, более всего подвержены действию про- и ретроактивной интерференции.

Эмоционально положительные слова на 6-м месте в первой десятке, на 8-м месте - во второй и 8 - в третьей, а отрицательные - соответственно на 8, 6 и 8-м месте. Испытуемому предъявлялись первые 10 слов с просьбой повторить все, что он запомнит. После воспроизведения с интервалом в 30 сек, предъявлялась вторая серия слов с той же инструкцией, а затем - третья. Причем порядок предъявления второй и третьей группы слов чередовался от испытуемого к испытуемому. В третьей группе менялись местами 6 и 8-й члены ряда. Чередование порядка предъявления 1-й и 2-й групп слов и отдельных "эмоциональных" слов проводилось с целью уравнять условия запоминания и воспроизведения позитивных и негативных слов.

В качестве" экспериментального материала йспользовались выделенные в предварительном эксперименте и описанные выше слова, а именно: 6 "эмоциональных", из которых 3 - позитивные: успех, радость, удивление и 3 - негативные: страх тревога, страдание, и нейтральные слова группы (б). Всего предъявлялось 30 слов. Методика была направлена на исследование как влияния "эмоционального фактора" на продуктивность воспроизведения слов в условиях действия сильной про- и ретроактивной интерференции, так и влияния знака эмоции на запоминание.

5. Метод запоминания 3-х групп по 6 слов, первая из которых включала только "нейтральные слова, вторая - 2 "эмоциональных", стоящих на 3 и 5-м месте, третья группа включала 3 "эмоциональных" слова, стоящих на 2, 4, 5-м местах". Испытуемому предъявлялось 6 слов с просьбой повторить все, что он запомнит. Затем вводилась интерферирующая задача - счет в уме. После этого испытуемого просили припомнить стимульный ряд. Затем предъявлялась вторая группа. Инструкция и ход эксперимента не менялись. Затем - третья группа. Инструкция и ход эксперимента - те же. Всего предъявлялось 18 слов. После этого испытуемому зачитывался список всех 18 слов с просьбой ответить, каким для него является слово - приятным, неприятным или нейтральным. В качестве экспериментального материала использовались "эмоциональные" и "нейтральные" слова, описанные выше (подгруппы "в"). Методика направлена на исследование, во-первых, влияния эмоционального фактора на продуктивность воспроизведения слов в условиях действия гетерогенной интерференции, а во-вторых, на сравнение продуктивности воспроизведения слов и субъективной оценки этих слов по эмоциональности.

6. Метод свободных ассоциаций. Метод состоит в том, что испытуемому предъявляются последовательно 10 слов, половина из которых - "эмоциональные", половина - "нейтральные", с просьбой дать несколько ассоциаций на каждое слово. С помощью секундомера фиксировалось время ассоциативной реакции (ВАР), данные ассоциаты записывались. Исследовалось влияние "эмоционального фактора" на скорость и продуктивность ассоциативного процесса. В качестве экспериментального материала были взяты слова, описанные ранее, а именно: "эмоциональные" - будущее, здоровье, болезнь, работа, жизнь, и "нейтральные" - явление, практика, колонна, страна, время.

7. Метод ранжирования эмоциональных состояний, изображенных на картинке. Опыт состоял в том, что испытуемому предъявлялся набор из 10 картинок, на которых были изображены люди в разных эмоциональных состояниях, а именно: счастья, радости, удовольствия, удивления, спокойствия, тревоги, страха, страдания (2 картинки), гневаК Таким образом, изображенные на картинках эмоции различались по двум параметрам: знаку и интенсивности выражения, что соответствует известной шкале Р. Вудвортса (1950), Г. Шлосберга (1952). От испытуемого требовалось разложить картинки от максимально положительного состояния до максимально отрицательного и назвать эмоцию или описать ситуацию, в которой находится герой.

Методика направлена на исследование знака и интенсивности эмоционального состояния.

8. Метод идентификации своего эмоционального состояния с одним из изображенных на картинке. Испытуемому предъявлялся описанный выше набор картинок с изображением людей в эмоциональных состояниях разного знака и интенсивности и предлагалось выбрать 1 или 2 картинки, которые, по его мнению, больше всего соответствуют его собственному эмоциональному состоянию в данный момент.

Кроме того, с больными проводилось: 1) общее нейропсихологическое исследование по "Схеме нейропсихологического исследования" (1973), которое было направлено на квалификацию синдрома; 2) Клинико-психологическое исследование состояния эмоционально-личностной сферы, которое включало оценку: а) общего эмоционального фона больных, б) характера жалоб больного, самооценки больным тяжести своего состояния, переживания болезни, в) характера заинтересованности и отношения больного к выполняемому заданию, г) аффективной реакции больного на неудачу в процессе эксперимента, критичности больного к собственным ошибкам, дефектам.

* * *

В исследовании приняло участие 120 здоровых испытуемых со средним и высшим образованием в возрасте от 18 до 60 лет (64 мужчины и 56 женщин) - студенты факультетов ВМК, журналистики, психологического, механико-математического, химического факультетов МГУ, Института им. Гнесиных (30 человек), учителя московских средних школ (30 человек), сотрудники ЦЭМИ (30 человек), рабочие и мастера завода им. Лихачева (30 человек).

По возрастному составу испытуемые распределились следующим образом: от 18 до 35 лет - 61 человек, от 35 до 45 лет - 32, от 45 до 60 лет - 27. 61 испытуемый имел среднее и 59 - высшее образование.

У 20 испытуемых оценивался профиль межполушарной асимметрии мозга по следующей методике: а) оценка моторных функций, б) оценка слухоречевых функций, в) оценка зрительных функций. (Подробнее о методах исследования профиля межполушарной асимметрии см.: Е. Д. Хомская и др., 1988.)

У большинства больных (115 человек) была опухоль головного мозга; у остальных - другие формы заболеваний: гематома (2), гигрома (1), артериовенозная аневризма (1), окклю зионная водянка мозга (3), церебральный арахноидит (2).

У большинства больных диагноз был верифицирован на операции, в отдельных случаях - с помощью компьютерной томографии или на секции мозга.

У 80 больных очаговый патологический процесс располагался в лобных долях мозга, у 13 - в задних отделах левого полушария, у 9 - в области задней черепной ямки, у 17 - в хиазмально-селлярной области.

Из 80 больных с поражением лобных долей мозга большинство (54 случая) были с очагом поражения в пределах лобных областей, в 26 случаях - со смешанными поражениями, захватывающими соседние доли мозга.

Из упомянутых 54 случаев 20 было с лобно-базальными менингомами (в области ольфакторной ямки, крыльев основной кости), 20 - с глиомами в одной из лобных долей, 6 - с односторонними лобнопарасагиттальными манингиомами, 8 - с глиомами и менингиомами полюса лобных долей. Из 26 больных со смешанной локализацией опухоли 9 было с лобно-теменнопарасагиттальпым расположением, 9 - лобно-височным, 8 - лобно-теменным. Из них только 12 случаев с двусторонним поражением лобных долей.

В обсуждение не включены больные с выраженными нарушениями речи и с грубыми общемозговыми расстройствами.

Локальные неврологические симптомы складывались у больных с поражением лобных долей мозга из: а) эпиприпадков с потерей сознания без судорог (4 человека) и с фокальными судорогами с одной стороны (16); б) одностороннего пирамидного гемисиндрома (гемипареза с повышением тонуса) (7 человек), легкого снижения силы в конечностях, противоположных патологическому очагу (18), пирамидной недостаточности в виде преобладания сухожильных и периостальных рефлексов и патологических рефлексов с одной стороны (46). У большинства этих больных в синдром пирамидной недостаточности входили различные степени центрального пареза VII нерва с одной стороны; в) экстрапирамидной недостаточности (амимии, гипомимии, брадикинезии, экстрапирамидного повышения (понижения) тонуса в конечностях, противоположных очагу поражения, тремора, (56); г) аносмии или гипосмии с одной стороны (20), с двух сторон (9).

Признаки внутричерепной гипертензии отсутствовали у 38 больных; они были выражены слабо или умеренно (начальные застойные явления на глазном дне, гипертензионные головные боли, у некоторых отмечались вторичные изменения турецкого седла) у 28 и только у 14 больных выраженные признаки гипертензии (приступы гипертензионных головных болей, застойные соски зрительных нервов, изменения турецкого седла по вторичному типу - порозность спинки турецкого седла).

Симптомы вторичной дислокации структур ствола отсутствовали у 45 больных и были выражены в слабой или умеренной степени у 33.

Электроэнцефалографическое исследование, проведенное у 62 больных, показало, что значительные общемозговые изменения были только у 17 больных, у остальных были умеренные и негрубые.

Локальные ЭЭГ изменения в виде преобладания медленной патологической активности типа дельта в передних отделах регистрировались у 39 больных, причем преимущественно в одной из лобных долей - у 36, у 3 - в обеих лобных долях. У остальных (23) очаг патологической активности в коре больших полушарий не определялся.

Общее нейропсихологическое обследование, проведенное у 71 больного, показало следующее: у части (10 больных) был грубо выраженный "лобный" синдром, у большинства (51) - умеренный, у 4 - легко выраженный и у 6 - не было обнаружено нарушения высших психических функций при нейро- психологическом исследовании.

По результатам исследования больные разделились на две подгруппы - А и Б.

Подгруппа А. Больные этой подгруппы имели следующий характер и локализацию патологического процесса: менингиома базальных отделов лобных долей (ольфакторная ямка, крылья основной кости справа) (10 человек); глиома или глиома с кистой правой лобной доли (5); состояние после удаления опухоли правой лобной доли (7); менингиомы и глиомы полюса лобных долей мозга преимущественно справа (5); менингиома лобно-парассагиттальной области оправа (3); внутримозговая гематома правой лобной доли (2); глиома правой лобно-височной области (3); менингиома правой лобно-теменнопарасагиттальной области (2); глиома правой лобно-теменной области (3); менингиома правой лобно-височной области (2); двусторонняя менингиома лобно-теменнопарасагиттальной области (1). Всего 44 случая.

Общее нейропсихологическое исследование показало следующее: у 4 больных был грубо выраженный "лобный" синдром, у 28 - умеренно выраженный "лобный" синдром, у 2 - легко выраженный и у 4 не было обнаружено нарушений высших корковых функций.

У 4 больных с грубым лобным синдромом на фоне дезориентировки в месте и времени были грубо выражены эмоционально-личностные расстройства (эйфория или апатия). У них была резко снижена критика к своему состоянию, регистрировались грубые нарушения интеллектуальных и мнестических процессов. Резко выраженный симптом ретроактивного торможения следов. Сужение объема запоминаемого материала, грубые конфабуляции. Больные были неопрятны в постели.

Больные с умеренно выраженным лобным синдромом ориентировались в месте и времени. Самостоятельно целью и результатами исследования не интересовались, активно жалоб не предъявляли. Эмоционально-аффективное отношение к своему заболеванию было четко снижено. У них была нарушена аффективная реакция на неудачу или она носила ситуационный характер. У больных был благодушно-спокойный фон настроения. Большинство (32) больных правши, у 7 - левшество в роду. Один - левша.

В серийно организованных двигательных действиях обнаружены трудности усвоения программы, соскальзывание на стереотипы и персеверации без самостоятельной коррекции (у 10 больных). Тенденция к эхопраксии в пробах с конфликтными Условиями (3). Импульсивность при восприятии предметных изображений (2). Фрагментарность восприятия сюжетных картин (2). Импульсивность включения в задание, фрагментарность синтеза условий арифметических задач с соскальзыванием на побочные ассоциации и стереотипы. Иногда раз возникший стереотип инертно фиксируется больным, самостоятельно не корректируется (17). Нарушение произвольной кратковременной памяти по модально-неспецифическому типу с основным механизмом в виде повышенной тормозимости следов интерферирующими воздействиями негрубой степени (7). У большинства этих больных при запоминании семантически организованного материала (текстов) соскальзывание на побочные ассоциации. У 4 больных были отчетливые затруднения удержания порядка элементов дискретных рядов.

У больных с легким "лобным" синдромом (2) в отдельных, видах деятельности регистрировалась импульсивность включения, иногда соскальзывание на побочные ассоциации и стереотипы со вторичной коррекцией.

Подгруппа Б. (36) Больные этой подгруппы имели следующий характер и локализацию патологического процесса: 1) глиома левой лобной доли (8); менингеома крыльев основной кости слева (2); менингеома бугорка турецкого седла с распространением в переднюю черепную ямку слева (3); опухоль полюса лобной доли, преимущественно слева (4); менингеома левой лобно-парасагиттальной области (3); состояние после удаления опухоли левой лобной доли (3); глиома левой лобно-височной области (2); менигеома левой лобно-височной области (2); глиома левой лобно-теменнопарасагиттальной области (1); менингеома левой лобно-теменнопарасагиттальной области (2); глиома левой лобно-теменной области (2); менингеома левой лобной области (2); гигрома левой лобно-височной области (1); артериовенозная аневризма левой лобно-теменнопарасагиттальной области (1); глиома левой заднелобной области (1).

Общее нейропсихологическое исследование, проведенное у 34 больных, показало следующее. У 6 больных был грубый "лобный" синдром, у большинства - 23 - умеренный, у 2 - легкий, у 2 - не было обнаружено нарушений высших психических функций.

Больные с грубым и легким "лобным" синдромом не отличались от больных подгруппы А. Больные с умеренным "лобным" синдромом были ориентированы в месте и времени. Большинство (21) больных пассивно участвовали в исследовании, были заторможены, вялы, замедленны, безынициативны, аспонтанны. Самостоятельно целью и результатами исследования не интересовались, активно жалоб не высказывали. Переживание и оценка своего состояния были четко снижены. У них была нарушена аффективная реакция на неудачу или она носила ситуационный характер. Большинство больных были эмоционально снижены, уплощены.

Большая часть больных (30) были правши, 2 - переученные левши, у 2 - левшество в роду. В серийно организованных двигательных действиях - трудности усвоения программы, соскальзывание на случайные стереотипы, персеверации звеньев, иногда целых действий (13) без самостоятельной коррекции (10), с самостоятельной коррекцией (3). В двигательных действиях с конфликтными условиями - стойкая тенденция к эхопраксии (19). Персеверации в речи (3). Импульсивность при восприятии предметных изображений (2). Фрагментарность восприятия сюжетных картин (2). Фрагментарность синтеза условий арифметических задач, соскальзывание на конкретно-ситуационные связи (6). Замедленность серийных интеллектуальных операций, выраженная адинамия мышления (8). Повышенная истощаемость интеллектуальной деятельности (5). Нарушение произвольной кратковременной памяти по модально-неспецифическому типу с основным механизмом в виде повышенной тормозимости следов интерферирующими воздействиями негрубой степени (12), грубой степени (2). У большинства этих больных была нарушена семантическая память. В одном случае нарушена долговременная память.

Итак, в соответствии с нейропсихологической оценкой, можно разделить синдромы нарушения эмоционально-личностной сферы по степени грубости, а именно: слабо выраженные эмоциональные нарушения наблюдались у 10 больных, умеренные - у 51 и грубо выраженные - у 10.

В соответствии с психиатрической экспертизой, которая проводилась только с некоторыми испытуемыми, куда входила oоценка знака и интенсивности эмоций, обследованные больные (18) распределились следующим образом: эйфория - 11 человек, дисфория, депрессия - 6 человек.

Больные первой контрольной группы (27) с внелобными заднеполушарными поражениями (13), внеполушарными очагами в области задней черепной ямки (9) и общемозговыми заболеваниями (5) характеризовались следующим.

Выраженные признаки внутричерепной гипертензии (грубые застойные соски зрительных нервов, иногда с кровоизлияниями; гипертензионные головные боли с тошнотой и рвотой на высоте ее; вторичные изменения на краниограммах) отмечались у 7 больных; умеренные (небольшие застойные соски зрительных нервов, гипертензионные головные боли) - У 6, у остальных (13) не было признаков гипертензии.

Нейропсихологический синдром больных этой группы характеризовался следующими симптомами.

На фоне сохранной ориентировки в месте и времени, отсутствия эмоционально-личностных нарушений у 3 из них отмечались мягко выраженные явления акустико-мнестическои афазии, у одного - негрубая алексия, аграфия, у 2 - негрубое нарушение восприятия ритма, нарушение зрительной памяти (1), нарушение зрительно-пространственного гнозиса, акальклии (4). У 2 больных отмечались не стойкие персеверации в различных видах деятельности, которые самостоятельно коррегировались больными или устранялись при включении прого- варивания. У всех остальных больных была сохранна программа серийно организованных действий, действий с конфликтными условиями, у большинства была сохранна бимануальная реципрокная координация.

Вторая контрольная группа больных (с опухолями в хиазмально-селлярной области) характеризовалась следующим: выраженные гипертензионные симптомы отмечались только у одного больного, у 3 - умеренные, у остальных (13) отсутствовали.

Локальные неврологические симптомы складывались у больных данной группы из; а) эндокринно-обменных нарушений в виде снижения либидо, аменореи, вторичного гипогонадизма, гипертериоза, гипотериоза, повышенной жажды, сонливости, ожирения или похудания, выраженной бледности или сухости кожи, скудного оволосения, повышенной утомляемости, несахарного диабета, гипертонии (7 человек); б) изменения полей зрения по типу битемпоральной гемианопсии (13), правосторонней гомонимной гемианопсии (1), височной гипопсии (1); в) из нарушения обоняния в виде гипосмии или аносмии с двух сторон (1), с одной стороны (2); г) из выраженных стволовых симптомов в виде ограничения взора вверх, вестибулярных нарушений, спонтанного нистагма, гиперрефлексии колорических вестибулярных рефлексов, повышения вестибулярных вегетативных реакций (11); д) из двигательных нарушений в виде снижения силы, повышения тонуса на одной стороне, тремора (5); ж) из двустороннего ладонно-подбородкового рефлекса (1), оживления сухожильных и периостальных рефлексов с двух сторон (2), рефлекса Бабинского (3).

Общее нейропсихологическое исследование, проведенное у 16 больных, показало, что у больных этой группы на первый план в психологической картине болезни выступает синдром, свидетельствующий о нарушении функционального состояния гипоталамо-диенцефальной области.

Сохранность внешней ориентировки у всех больных. Сохранность оценки и переживания болезни у всех больных, за исключением одного, у которого отмечалось снижение переживания болезни. У 3 больных отмечалось некоторое снижение активности. Остальные интересуются целью и результатами исследования. Эмоционально-отрицательная реакция на неудачу носит обобщенный характер. У всех больных были расстройства памяти различной тяжести. У большинства (10 человек) умеренные или негрубые, но отчетливые нарушения памяти модально-неспецифического типа. Основные механизмы нарушения памяти - патологически усиленное действие интерференции. Нарушение проявляется преимущественно при запоминании дискретного материала. У большинства (14) больных семантическая организация материала компенсирует имеющийся дефект. В 3 случаях были выраженные модально-неспецифические нарушения памяти. У одного больного дефекты памяти проявлялись как при запоминании дискретных рядов, так и семантически организованного материала. У одного больного обнаружены нарушения долговременной памяти.

Особенностью общей картины обследованных больных данной группы было: в одном случае - тенденция к импульсивному включению в задание и колебания внимания в интеллектуальной деятельности с самостоятельной коррекцией ошибок. В одном случае - грубые расстройства интеллектуальной деятельности в виде снижения уровня обобщения, которые можно объяснить длительно существующей водянкой головного мозга, и у одного больного - речевые трудности при повторении звуков, слов, скороговорок, которые проявляются при истощении.

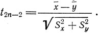
Обработка данных. 1. При исследовании влияния эмоционального фактора на продуктивность и скорость мнестико-интеллектуальных процессов сравнивалась продуктивность и скорость этих процессов "а: а) "эмоциональные" и б) "нейтральные" слова, а именно - при сравнении продуктивности непосредственного воспроизведения "эмоциональных" и "нейтральных" слов подсчитывалось количество непосредственно воспроизведенных слов каждой категории. Данныё усреднялись для группы. Считались средние значения и дисперсии воспроизведения отдельно для "эмоциональных" и "нейтральных" слов. Проверялась гипотеза о наличии статистически значимой разницы воспроизведения "эмоциональных" и "нейтральных" слов с помощью критерия Стыодента и модифицированного критерия Стьюдента. Использовались формулы:


√(n-1) и


где х и у - средние выборок, S2x и S2у - дисперсии, Wx и Wу - размах выборки, n - количество испытуемых. Подсчитывалось количество испытуемых (в %), которые запомнили слова, стоящие на 1 - 10-м месте в ряду из 10 слов, отдельно для "эмоциональных" и "нейтральных" слов.

2. При сравнении продуктивности воспроизведения "эмоциональных" и "нейтральных" слов в условиях действия сильной про- и ретроактивной интерференции для каждого испытуемого считалось общее (для трех групп слов) количество слов, стоящих на 1 - 10-м месте в ряду. Эти данные усреднялись для группы.

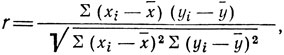
3. При сравнении продуктивности воспроизведения слов каждой категории в условиях гетерогенной интерференции весь расчет производился для двух условий эксперимента: а) при непосредственном воспроизведении; б) при воспроизведении после гетерогенной интерференции. Из обработки и анализа исключались данные воспроизведения крайних (1-го и б-го) членов ряда. Для каждого испытуемого подсчитывалась эффективность воспроизведения (ЭВ) "эмоциональных" и "нейтральных" слов в обоих случаях условий эксперимента. Эффективностью воспроизведения считалось общее (для трех групп слов) количество воспроизведенных слов относительно предъявленных для запоминания, выраженное в %. Данные усреднялись для группы. Считались средние значения и дисперсии ЭВ. Проверялась статистическая значимость наличия корреляционной связи между ЭВ "эмоциональных" слов и субъективной оценкой их по эмоциональности. Здесь и в дальнейшем использовалась формула


где r - коэффициент корреляции, xi и уi - члены выборок, х и у - средние выборок (Е. Ю. Артемьева, Е. М. Мартынов, 1974).

4. При исследовании влияния знака эмоций на запоминание для каждого испытуемого подсчитывалось общее (для трех групп слов) количество воспроизведенных положительных и отрицательных слов. Данные усреднялись для группы в целом. Считались средние значения и дисперсии воспроизведения позитивных и негативных слов. Проверялась гипотеза о статистической значимости разницы воспроизведения позитивных и негативных слов с помощью критерия Стьюдента. Для каждого испытуемого отсутствие разницы обозначалось 0, преимущество воспроизведения тех или иных слов - 1.

5. При обработке результатов ранжирования-интерпретации знака эмоционального состояния, изображенного на картинке считалось количество испытуемых (в %), которые поставили каждую картинку на 1 - 10-е место в ряду "положительное - отрицательное". Проводился качественный анализ интерпретации знака эмоций. Подсчитывалось количество испытуемых (в %), которые интерпретировали и ранжировали положительные эмоции как отрицательные и отрицательные - как положительные. Подсчитывалось общее количество и средние значения ошибок ранжирования и интерпретации. Отдельно подсчитывалось количество ошибок типа: а) отрицательные эмоции ранжируются и интерпретируются как положительные и б) положительные эмоции ранжируются и интерпретируются как отрицательные.

Ошибкой ранжирования-интерпретации знака эмоций считалось такое действие, когда испытуемый ставил отрицательную эмоцию на 1-5-е места (т. е. на места положительной эмоции), или положительную эмоцию - на 6-10-е места (т. е. на места отрицательной эмоции) и при этом ошибочно интерпретировал ее соответственно как положительную или отрицательную. Ошибкой считалось также действие, когда испытуемый хотя и правильно ранжировал, но неправильно интерпретировал знак эмоции. Отсутствие ошибки обозначалось 0, наличие - 1.

Проверялась статистическая значимость наличия корреляционной связи между предпочтением воспроизведения позитивных слов и появлением ошибок типа а), когда отрицательные эмоции ранжируются и интерпретируются как положительные; между предпочтением воспроизведения негативных слов и появлением ошибок типа б), когда положительные эмоциональные состояния ранжируются и интерпретируются как отрицательные.

При обработке данных больных с поражением правой, левой лобной доли и двусторонним очагом здесь и в дальнейшем каждый больной описывался как имеющий признак - локализацию поражения. Поражение какой-либо стороны лобных долей обозначалось 1, отсутствие признака поражения - 0 (С. В. Квасовец, 1980). Проверялась статистическая значимость наличия корреляции между признаком поражения и предпочтением воспроизведения тех или иных слов, а также появлением характерных ошибок в оценке эмоционального состояния.

6. При сравнении скорости и продуктивности ассоциативного процесса на "эмоциональные" и "нейтральные" слова оценивалась разница времен ассоциативной реакции (ВАР) и количеств ассоциатов, данных на "эмоциональные" и "нейтральные" слова. Данные ВАР и количество ассоциатов на первое "эмоциональное" и "нейтральное" слово считалось прикидочными и из обработки исключались. Все полученные данные ВАР округлялись до целых секунд (ВАР, равные 1,5; 2,5; 3,5 сек, округлялись в большую сторону).

Считалось количество показателей быстрого, среднего и медленного ВАР на "эмоциональные" и "нейтральные" слова. Показателем ВАР считали замер времени ассоциативной реакции одного испытуемого на одно слово. Условно быстрым ВАР считали время, равное 0-1 сек, средним - от 2 до 3 сек, медленным - от 4 и больше сек. Сравнивалось количество показателей быстрого, среднего и медленного ВАР на "эмоциональные" и "нейтральные" слова. Кроме того, считали показатели минимального, среднего и максимального количества ассоциатов. Показателем количества ассоциатов считалось количество ассоциатов, данное одним испытуемым на одно слово. Условно считали минимальным количеством ассоциатов отказ испытуемого отвечать или 1 ассоциат, средним - 2 ассоциата, максимальным - 3 и больше ассоциатов. Сравнивалось количество показателей минимального, максимального и среднего количества ассоциатов на "эмоциональные" и "нейтральные" слова. Проверялась гипотеза о статистической значимости наличия корреляционной связи между скоростью ассоциативного процесса и его продуктивностью на "эмоциональные" слова. Быстрое и медленное ВАР, а также минимальное и максимальное количество ассоциатов обозначалось 1, средние показатели ВАР и количество ассоциатов - 0.

7. При обработке результатов идентификации (самооценки своего эмоционального состояния с одним из изображенных на" картинке подсчитывалось общее (для всех испытуемых) количество выборов (в %): а) положительных эмоций максимальной интенсивности; б) положительных эмоций средней интенсивности; в) отрицательных эмоций максимальной интенсивности; - г) отрицательных эмоций средней интенсивности. Выбор эмоции: средней интенсивности обозначался 0, максимальной - 1.

Проверялась статистическая значимость наличия корреляционной связи между предпочтением воспроизведения позитивных слов и выбором максимально положительной эмоции в качестве идентичной своему эмоциональному состоянию; между появлением ошибок типа а) и выбором максимально положительной эмоции в качестве идентичной своему эмоциональному состоянию. А также - между предпочтением воспроизведения негативных слов и выбором максимально отрицательной эмоции в качестве идентичной своему собственному эмоциональному состоянию; между появлением ошибок типа б), когда положительные эмоции ранжируются и интепретируются как отрицательные, и выбором максимально отрицательной эмоции в качестве идентичной своему эмоциональному состоянию.

При обработке данных больных с преимущественным поражением правой и левой лобной доли кроме этого проверялась гипотеза о наличии корреляции между признаком поражения правой лобной доли и выбором максимально положительной эмоции в качестве идентичной своему эмоциональному состоянию. А также - признаком поражения левой лобной доли и выбором максимально отрицательной эмоции в качестве идентичной своему эмоциональному состоянию. Применялась описанная выше формула для вычисления коэффициента корреляции. Обработка производилась на ЭВМ ЕС 1022.

предыдущая главасодержаниеследующая глава











© PSYCHOLOGYLIB.RU, 2001-2021
При копировании материалов проекта обязательно ставить активную ссылку на страницу источник:
http://psychologylib.ru/ 'Библиотека по психологии'

Рейтинг@Mail.ru

Поможем с курсовой, контрольной, дипломной
1500+ квалифицированных специалистов готовы вам помочь