НОВОСТИ    БИБЛИОТЕКА    ССЫЛКИ
КРАТКИЙ ПСИХОЛОГИЧЕСКИЙ СЛОВАРЬ РАЗДЕЛЫ ПСИХОЛОГИИ
КАРТА САЙТА    О САЙТЕ


предыдущая главасодержаниеследующая глава

I. Методология

§ 1. Методы исследования памяти

Первые экспериментальные методы изучения мнемических процессов были предложены Германом Эббингаузом (1850-1909). Эббингауз нашел однажды у одного парижского букиниста "Elemente der Psychophysik" Густава Фехнера. Чтение этой книги натолкнуло его на мысль о возможности изучения высших психических процессов, и особенно памяти, используя количественные методы по аналогии с теми, которые были установлены Фехнером при исследовании ощущений. Спустя несколько лет в 1885 году Эббингауз опубликовал фундаментальный труд, озаглавленный "Uber das Gedachtnis", в котором он описывал метод заучивания (или метод последовательных воспроизведений) и метод сбережения, равно как и основные результаты, полученные при применении этих методов при изучении памяти. Незадолго до своей преждевременной смерти Эббингауз обогатил методологию психологии, разработав в 1902 году также метод антиципации, или метод "подсказки".

В дальнейшем к этим классическим методам вскоре прибавились новые методы в духе экспериментальной традиции, начало которой положил Эббингауз. Упомянем метод воспроизведенных элементов Болтона (1892), метод парных ассоциаций Калкинса (1894), метод реконструкции Мюнстерберга и Бигхэма (1894), метод уравнивания в заучивании Вудвортса (1914) и метод узнавания, применявшийся с 1886 года Вольфом и модифицированный Бине и Анри в 1894 году.

А. Метод заучивания Эббингауза

Цель его состоит в том, чтобы добиться полного усвоения испытуемым материала, который требуется заучить. Наиболее часто применяемым критерием усвоения является первое безошибочное воспроизведение материала или, при более строгом подходе, два безошибочных последовательных воспроизведения. В такой форме этот метод применяется исследователями и в настоящее время, однако его следовало бы называть методом последовательных воспроизведений, поскольку он состоит в многократном предъявлении в постоянном темпе определенного материала, чередующемся в период между двумя последовательными предъявлениями воспроизведением удержанных в памяти элементов.

При этом методе можно получить два показателя, характеризующих скорость заучивания: количество проб и время, необходимое для полного заучивания материала. При этом становится возможным установить кривую научения: на абсциссе откладывают число проб, а на ординате - число элементов, правильно воспроизведенных при каждой пробе.

В области памяти этот метод является адекватным при исследовании различных мнемических процессов, охватывающих длительный период времени и требующих строгих критериев научения. Однако здесь следует сделать два замечания: 1) как показал Джиллетт (1936), этот метод ставит в более благоприятные условия субъектов, медленно обучающихся, ввиду того что для достижения критерия усвоения им требуется большее число проб по сравнению с быстро обучающимися субъектами, что дает первым возможность дополнительно повторить некоторые элементы материала; 2) применение его в коллективных условиях при наличии группы испытуемых поднимает иногда трудноразрешимые практические проблемы.

Б. Метод постоянного числа предъявлений

Фактически речь идет о разновидности предыдущего метода. Вместо критерия усвоения принимают постоянный для всех испытуемых критерий упражнения. Этот критерий представляет собой определенное число предъявлений материала, которое заранее устанавливается экспериментатором. В этом случае нет никакой необходимости включать между двумя последовательными предъявлениями воспроизведение усвоенных испытуемыми элементов. Сразу же или спустя некоторое время после окончания предъявлений определяют количество запомненных элементов материала методом воспроизведения (устно или письменно) или методом узнавания. Число правильно воспроизведенных каждым испытуемым элементов составляет показатель его запоминания; число правильно идентифицированных элементов - показатель его узнавания. Этот метод, удобный при применении в больших группах испытуемых, используется весьма часто. Однако Джиллетт (1936) показал, что при этом методе оказываются в выигрыше быстро обучающиеся субъекты, которые при прочих равных условиях запоминают больше элементов, чем медленно обучающиеся субъекты.

В. Метод уравнивания в заучивании Вудвортса

Этот метод, как отметил Джиллетт (1936), позволяет уменьшить недостатки двух предыдущих методов. Он состоит в уравнивании для всех испытуемых числа правильных воспроизведений, получаемых во время заучивания. С этой целью каждое предъявление материала сопровождается воспроизведением удержанных элементов. Однако, как только какой-нибудь элемент воспроизводится правильно, экспериментатор исключает его из материала. Таким образом, следующее предъявление включает в себя лишь те элементы, которые не были еще объектом правильного воспроизведения. Эксперимент продолжается до тех пор, пока один раз (и только один) не будут правильно воспроизведены все элементы материала. Однако в этом случае можно принять и более строгие критерии.

Г. Метод антиципации Эббингауза

Испытуемому один или несколько раз предъявляются элементы материала, сгруппированного в ряды а->b->с->d и т. д., после чего он должен постараться воспроизвести их, соблюдая установленный порядок. В случае ошибки экспериментатор поправляет испытуемого; если же испытуемый не может воспроизвести нужный элемент, экспериментатор "подсказывает" ему его. Эта процедура обычно продолжается до первого безошибочного воспроизведения данного ряда.

В настоящее время при применении этого метода используется прибор, обеспечивающий постоянную экспозицию всех элементов ряда и одинаковый временной интервал между двумя какими-либо последовательными элементами; предположим, предъявляются два следующих друг за другом элемента - х и у, при появлении х испытуемый должен назвать у, предвосхищая его появление.

Какая бы разновидность методики ни применялась, получают 4 следующих показателя: 1) общее время заучивания; 2) число проб, необходимых для достижения критерия усвоения; 3) число ответов, правильно антиципированных в каждой пробе; 4) число ошибок в каждой пробе.

Этот открывающий богатейшие возможности метод представляет большой интерес для изучения ассоциативных механизмов памяти.

Д. Метод парных ассоциаций Калкинса

В соответствии с методикой, разработанной Калкинсом (1894), элементы материала располагаются попарно, как во французско-английском словаре. При исследовании запоминания первый элемент каждой пары играет роль стимула, второй - ответа. В инструкции испытуемым говорится, что они должны запомнить пары таким образом, чтобы при предъявлении первого члена пары они в ответ назвали второй член. В опыте предъявляется вначале одна или несколько пар, затем исследование памяти производится в описанном выше порядке.

Этот метод можно применять также в сочетании с методом антиципации Эббингауза: после одного или нескольких предварительных предъявлений пар ограничиваются предъявлением элементов-стимулов, задача испытуемого состоит в том, чтобы на каждый стимул отвечать связанным с ним правильным элементом. Если испытуемый воздерживается от ответа или делает ошибки, то ему на слух или зрительно предлагают правильный ответ. В одном из вариантов этой методики после каждой кратковременной экспозиции стимула экспериментатор называет ответ даже в том случае, если этот ответ дается самим испытуемым. При этом считается, что восприятие правильного ответа подтверждает или подкрепляет только что данный ответ. Показатели, получаемые в результате применения этого метода, аналогичны получаемым с помощью метода антиципации (см. выше, пункт Г).

Е. Метод узнавания

При этом методе элементы материала, подлежащего заучиванию, располагаются в порядке, который испытуемый не может предугадать, среди новых, но однородных элементов (заучиваемые слоги смешивают с другими слогами, прилагательные с другими прилагательными, рисунки с другими рисунками и т. д.); в этом случае задача испытуемого будет состоять в том, чтобы просмотреть всю совокупность элементов и идентифицировать те, которые требуется заучить, по мере того, как они будут встречаться.

Как правило, опыт на узнавание практически можно организовать следующим образом: допустим, заучивается ряд из 10 стимулов, которые затем смешивают с 30 новыми стимулами. Таким образом можно составить однородный ряд, содержащий 40 стимулов, которые и предъявляются испытуемому. Можно также применить методику множественных выборов: материал испытания делится на 10 различных групп, каждая группа включает в себя один правильный стимул и три новых стимула; среди четырех стимулов каждой группы испытуемый должен выбрать тот, который он считает знакомым.

При прочих равных условиях относительная трудность опыта на узнавание зависит в основном от двух переменных: узнавание правильных стимулов становится труднее, если увеличивается количество новых стимулов или возрастает степень сходства между старыми и новыми стимулами (Леман, 1888-1889; Сьюард, 1928; Постман, 1950, 1951; Флорес, 19586; Эрлих, Флорес, Ле Ни, 1960).

При анализе результатов, полученных в опыте на узнавание, следует учитывать, что испытуемый может случайно выбрать правильный стимул. Теоретически вероятность того, что правильный выбор является следствием случайности, тем больше, чем меньше число новых стимулов. Если 10 старых стимулов смешать с 10 другими, то вероятность случайного правильного ответа будет составлять 50%; однако если эти 10 стимулов расположить среди 30 новых стимулов, то указанная вероятность становится равной 25%.

Кроме того, вероятность того, что правильный выбор является результатом случайности, тем больше, чем больше число ошибочных идентификаций (то есть когда новые стимулы расцениваются испытуемым как относящиеся к заучиваемому материалу). Предположим, что у испытуемых А и В в опыте на узнавание 10 старых стимулов смешаны с 30 новыми. Испытуемый А правильно идентифицирует 3 стимула и совсем не обнаруживает ошибочного узнавания; испытуемый В также эффективно идентифицирует 3 старых стимула, однако наряду с этим "узнает" 5 новых стимулов, которые не включались в заучиваемый материал. По-видимому, логично считать, что больший вес имеют 3 правильных ответа испытуемого А, который не делал ошибок, нежели ответы испытуемого В, который 5 раз ошибался.

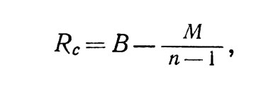
Следующая формула, предложенная Постманом (1950), вносит поправку в получаемые данные с учетом влияния указанных выше двух факторов:


где Rc - показатель окончательного узнавания, В - число правильных идентификаций, М - число ошибочных идентификаций и n - общее число предъявлений.

Ж. Метод реконструкции Мюнстерберга и Бигхэма

Заучиваемые элементы предъявляются в одном и том же порядке, который требуется запомнить во время заучивания. После окончания заучивания испытуемому предъявляют те же элементы, но в ином порядке. Задача испытуемого заключается в том, чтобы расположить их в первоначальном порядке. Наиболее адекватным показателем является, по-видимому, коэффициент корреляции между правильной классификацией стимулов и классификацией, осуществляемой испытуемым. В этом случае используют "ro" Спирмена или "tau" Кендэла.

З. Метод сбережения Эббингауза

Этот метод был разработан в целях изучения динамики изменения памяти (и особенно забывания) во времени; в равной мере он используется для определения феноменов переноса и интерференции задач.

Психометрическая оценка памяти испытуемого существенно изменяется в зависимости от применяемых методов исследования: например, при прочих равных условиях показатель узнавания почти всегда выше показателя воспроизведения, но может случиться, что спустя определенное время после заучивания испытуемый оказывается неспособным воспроизвести или даже идентифицировать ни один из стимулов, которые он заучил. Однако в этом случае было бы неправильным делать вывод о полном забывании, не применив метода повторного заучивания, дающего возможность выявить сбережение упражнения, которое можно объяснить устойчивостью скрытого мнемического следа.

Повторное заучивание должно удовлетворять двум условиям: а) оно должно осуществляться тем же методом, с помощью которого происходило первоначальное заучивание; б) испытуемый снова должен достигнуть того же критерия усвоения, который был установлен при заучивании.

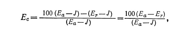
Различие между числом проб при первоначальном и повторном заучивании составляет величину абсолютного сбережения упражнения. Однако это абсолютное сбережение почти не имеет значения, особенно когда речь идет о сравнении показателей сбережения нескольких испытуемых: так, если испытуемому А потребовалось для заучивания 20 проб, а для повторного заучивания 15 проб, то его абсолютное сбережение равно 5 пробам; если испытуемому Б для заучивания понадобилось 16, а для повторного заучивания - 11 проб, то величина его абсолютного сбережения будет равна также 5 пробам. Однако относительный "вес" этих 5 проб будет неодинаковым, если соотносить их с количеством проб - с 16 или 20 - первоначального заучивания. Следовательно, необходимо вычислить величину относительного сбережения. С этой целью применяется несколько формул. Наиболее адекватной нам кажется формула Хилгарда (1934), поскольку она позволяет получить все показатели в процентах (от 0 до 100%):


где Ес - относительное сбережение, Еа - число проб при заучивании, Еr - число проб при повторном заучивании, J - число правильных проб, соответствующих критерию усвоения, установленному экспериментатором (J будет равно 1, если этим критерием является первое безошибочное воспроизведение материала). При вычислении по этой формуле величины относительного сбережения вводится поправка показателя, определяемая путем вычитания правильной пробы J (или числа проб J), соответствующей критерию усвоения, совпадающему при первоначальном и повторном заучивании. В самом деле, испытуемый обладает превосходной памятью, если он при первой же пробе повторного заучивания правильно воспроизводит материал. Как это можно легко проверить, если не учитывать указанную поправку, то показатель сбережения этого испытуемого не будет равен 100% (Однако сбережение, вычисленное по указанной формуле, лишь частично обусловлено влиянием памяти. В процессе повторного заучивания начинает оказывать влияние и другой, отличающийся от интересующего нас феномен, в результате чего показатель сбережения может оказаться неправомерно завышенным (Банч, 1941). Речь идет о переносе на повторное заучивание некоторых эффектов, обусловленных первоначальным заучиванием: испытуемый "научается учиться" в специфических условиях эксперимента: он привыкает к материалу и применяемому методу, что приводит к сокращению числа проб, необходимых для повторного заучивания. Следовательно, при определении собственно мнемического сбережения необходимо по возможности исключить этот эффект переноса. Для этого число проб Еа при заучивании заменяют числом проб Еа, необходимых для достижения того же критерия при заучивании нового, но идентичного материала одинаковой степени трудности. См. об этом стр. 304).

предыдущая главасодержаниеследующая глава











© PSYCHOLOGYLIB.RU, 2001-2021
При копировании материалов проекта обязательно ставить активную ссылку на страницу источник:
http://psychologylib.ru/ 'Библиотека по психологии'

Рейтинг@Mail.ru

Поможем с курсовой, контрольной, дипломной
1500+ квалифицированных специалистов готовы вам помочь