НОВОСТИ    БИБЛИОТЕКА    ССЫЛКИ
КРАТКИЙ ПСИХОЛОГИЧЕСКИЙ СЛОВАРЬ РАЗДЕЛЫ ПСИХОЛОГИИ
КАРТА САЙТА    О САЙТЕ


предыдущая главасодержаниеследующая глава

9. Модельный блок организационных функций диспетчера информационной системы

В качестве примера имитационного модельного блока, переходящего границы задач первоначальной формализации, является модель организационных функций диспетчера информационной системы, выполненная в терминологии теории массового обслуживания. Указанная модель позволяет не только ввести и содержательно интерпретировать ряд переменных, носящих социально-психологический характер, по и представить ее в качестве модельного операционного блока комплексной имитационной модели групповой деятельности операторов АСУ.

Рассмотрим некоторую автоматизированную систему управления, обслуживаемую группой операторов, действия которых координируются в свою очередь диспетчером системы.

В систему как составные части входят:

- объект контроля и управления;

- индивидуальные средства отображения информации исполнителей (алфавитно-цифровые дисплеи и информационные панели);

- индивидуальная функциональная клавиатура операторов, предназначенная для введения в систему команд и чисел;

- средства отображения диспетчера (алфавитно-цифровой дисплей и информационная панель);

- функциональная клавиатура диспетчера;

- комплекс информационно-командных связей (оператор - система, оператор - оператор; оператор - диспетчер, диспетчер - система, объект - система);

Не рассматривая в целом задачи системы и режимы ее работы, выделим и охарактеризуем подсистему, состоящую из группы операторов, на средства отображения которых поступает информация о различных ситуациях на объекте, и диспетчера, осуществляющего через свои средства отображения и функциональную клавиатуру контроль общего состояния объекта, системы и действий группы операторов.

Каждый оператор подсистемы в нормальных условиях работы выполняет формализованный набор действий-операций, предусматривающий считывание ситуации с индивидуальных средств отображения, сравнение текущей ситуации с набором эталонов, определение типа ситуации, определение необходимого типа и величины воздействия, ввод воздействия в систему и информирование диспетчера о ситуации и воздействии.

Если любой из операторов встречается с ситуацией, тип которой не внесен в список эталонов, он имеет право обратиться к диспетчеру (через соответствующие технические устройства) с целью:

- запросить дополнительную информацию от диспетчера, которую он сам получить не имеет возможности;

- информировать диспетчера о возникающих сложностях при оценке ситуации или принятии решения и т. д.

Кроме этого, в процессе работы оператор имеет возможности:

- сообщить диспетчеру о возникшей перегрузке;

- информировать его о сбоях и отказах технических средств;

- о своем самочувствии и т. д.

Задачи в контуре управления подчиненным коллективом (организационные задачи) диспетчер решает двумя методами, а именно:

- действуя в соответствии с хорошо разработанными принципами деятельности руководителя традиционных малых производственных групп;

- непосредственно воздействуя на коллектив через имеющиеся технические средства в процессе решения основной задачи.

В рассматриваемой подсистеме второй метод является основным, поскольку определяет те реальные формы реализации диспетчером организационных функций, которыми он объективно располагает.

Действительно, руководство деятельностью подчиненного коллектива, осуществление координации внутри коллектива, контроль исполнения с постановкой дополнительных задач, маневрирование резервами, оценка итогов решения различных задач и т. п. проходят параллельно с основной технологической деятельностью диспетчера при отсутствии непосредственных ("человеческих") форм связи с подчиненными операторами [21].

Специфические формы реализации организационных функций в этих условиях определяются следующими возможностями диспетчера:

- неофициальным контролем действия любого оператора;

- блокированием необоснованных вызовов "назойливых" операторов;

- разгрузкой "неуверенных" или слабо подготовленных операторов;

- оперативным перераспределением задач или их частей между операторами;

- выключением оператора из процесса работы;

- возможностью информирования операторов через индивидуальные средства отображения об общей или персональной эффективности их действий;

- явной или неявной оперативной коррекцией ошибочных действий операторов и т. д.

Необходимо отметить, что процесс реализации организационных функций в рассматриваемой подсистеме характеризуется, с одной стороны, "мгновенным" характером реализации принятых диспетчером решений и, с другой стороны - высокой ценой его ошибочных действий.

При неопределенности условий, в которых дана цель действий диспетчера, отсутствии алгоритма достижения цели, неопределенности критериев, характеризующих выбор способа действий, возможность формализации организационной деятельности диспетчера крайне затруднена [26J.

Анализ процесса функционирования подсистем рассматриваемого типа показывает, что сложность ситуации резко увеличивается в случаях выхода системы из нормального режима функционирования, а именно, при аварийных ситуациях на "объекте", отказах технических средств системы, неудовлетворительном физиологическом или психическом состоянии операторов, нарушении нормальной системы внутригрупповых отношений и т. д. [19].

В таких случаях ставится под сомнение не только возможность выполнения диспетчером комплекса организационных функций, но и получение приемлемого решения основной технологической задачи.

Как следует из анализа информационно-командных связей подсистемы "диспетчер - оператор" и условий ее функционирования, жизнедеятельность подсистемы связана с наличием непрерывной потребности в определенном виде обслуживания запросов операторов, поступающих к диспетчеру в неопределенные моменты времени и с неопределенной частотой. Очевидно, что одной из основных задач диспетчера является удовлетворение поступающих запросов с точки зрения оптимизации деятельности коллектива операторов, направленной на эффективное решение задачи системой в целом. Иными словами, речь идет об организации оптимального обслуживания в подсистеме, имеющей вероятностные характеристики входных и выходных процессов, параметров самого обслуживания, величин потерь и т. д. Задачи такого рода решаются методами теории массового обслуживания (ТМО), поэтому формальное описание рассматриваемой подсистемы проведем, используя терминологию теории.

Необходимо отметить, что аппарат ТМО неоднократно эффективно использовался при исследовании систем "человек - машина" [2, 3, 16, 17], однако, как правило, в таких исследованиях рассматривались подсистемы типа "машина - группа операторов", "группа технических средств - оператор", "группа технических средств - группа операторов". В нашем случае подсистема отличается от ранее рассматриваемых, так как имеет схему "группа операторов - технические средства - диспетчер". Существует, как отмечалось, и существенное отличие предмета исследования. Если в традиционных схемах изучались вопросы деятельности человека в основном контуре управления "объектом", то в рассматриваемом случае предметом изучения является деятельность человека в социотехническом контуре управления, определяющая в свою очередь эффективность управления в основном контуре.

При этом задача ставится применительно к специфическим способам реализации организационных функций руководителя (диспетчера).

Выше указывалось, что каждый оператор имеет возможность сформировать вызов и передать его через свою функциональную клавиатуру диспетчеру системы. Вызов в качестве требования на обслуживание индицируется на средствах отображения диспетчера. В соответствии с принятыми в ТМО допущениями суммарный поток требований от всех операторов к диспетчеру можно считать близким к пуассоновскому с интенсивностью а. Будем считать, что каждое требование в той или иной форме содержит в себе информацию о причине обращения к диспетчеру. Учитывая случайный характер как момента генерации требования, так и причины его возникновения, можно ввести понятие вероятности направления требования α на определенный вид обслуживания Рα


Здесь α - элемент конечного множества видов обслуживания Ω.

Под видами обслуживания будем понимать (в соответствии с причинами обращения операторов) законченные простые действия-операции диспетчера, например, подтверждение вызова, формулировку запроса к ЭВМ на дополнительную информацию, передачу дополнительной информации оператору, просмотр загрузки отдельного оператора, контроль решения отдельного оператора и т. д.

Крайне важным является учет в подсистеме критических ситуаций работы, когда оператор формирует повторное или новое требование на обслуживание, не дождавшись обслуживания по предыдущему требованию. В этом случае на виде обслуживания α может образоваться в рассматриваемый момент времени очередь длиной lα (без учета обслуживаемого требования, если оно имеется). В каждый момент времени очередь в системе характеризуется вектором


Длина очереди у каждого вида обслуживания не ограничивается.

Естественным является предположение, что полное обслуживание запроса может потребовать выполнения диспетчером нескольких законченных операций (видов обслуживания). В этом случае требование, обслуженное на α, может направляться в очередь нового вида обслуживания β с вероятностью


для любых α, β ∈ Ω, a с вероятностью


выходить из системы после конца обслуживания.

Длительность обслуживания на α определяется функцией распределения Bα(t), на вид которой не накладывается каких-либо ограничений. Добавим, что длительности обслуживания по видам предполагаются независимыми между собой и от входящего потока требований.

Таким образом, интересующая нас задача оптимизации организационных функций диспетчера в рассматриваемой подсистеме сводится к определению порядка обслуживания требований в ситуации описываемой ТМО. Иными словами, необходимо найти правило, позволяющее диспетчеру по состоянию системы в каждый момент времени определить, какое из требований и на каком виде обслуживания необходимо удовлетворить.

В текущий момент времени выбор очередного вида обслуживания должен определяться вектором l∈L, оставшихся в системе требований. Отметим, что l характеризует не только суммарную длину очереди, по и распределение требований по видам обслуживания, т. е. характер и интенсивность причин обращения операторов к диспетчеру. Вектор l, таким образом, является интегральной характеристикой текущего состояния коллектива операторов, с одной стороны (информационная нагрузка, сосредоточенность, слаженность и т. д.), и качества текущих действий диспетчера, с другой стороны.

Введем функцию u=u(l), u(l)∈U, которую назовем функцией переключения видов обслуживания. При количестве требований, оставшихся в системе l(l ≠0), обслуживание должно продолжаться, начиная с вида α=u(l).

Все указанное выше позволяет определить исследуемую подсистему как систему массового обслуживания, заданную следующими параметрами:


Наличие очереди на виды обслуживания в системе предполагает и наличие определенных потерь. Очевидно, что потери будут определяться:

- стоимостью задержек при принятии решения и его реализации операторами системы, т. е. потерями в основном контуре управления "объектом";

- понижением эффективности действий (в текущий и последующие моменты времени) как каждого отдельного оператора, так и всей группы в целом за счет несоответствия между необходимым уровнем действий операторов и реально возможным, т. е. за счет снижения уровня положительной мотивации.

Действительно, невозможность успешно и в заданное время решить текущую задачу может приводить к снижению мотива достижения цели; факт (или предположение о нем) понижения личного уровня эффективности относительно эффективности действий других операторов - к снижению мотива соревнования; не зависящая от оператора возможность успешно конкурировать с другими операторами - к снижению мотива престижа. Во всех случаях потери будут зависеть от времени ожидания требований в очереди и от тех конкретных видов обслуживания, которых требования ожидают. Обозначим через Сα стоимость ожидания (за единицу времени) обслуживания вида α.

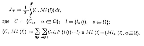
Можно показать, что средние потери JT за время Т равны:


Средние же потери за единицу времени J в стационарном режиме запишем как J (С, l), где l={lα, α∈Ω} и lα - математическое ожидание длины очереди у вида обслуживания а в стационарном режиме.

Потери J очевидным образом определяются выбранным порядком обслуживания в системе, т. е. функцией и u∈U, поэтому можно записать, что J=J(u).

Нас интересует, существует ли и при каких условиях оптимальная функция переключения u*∈U такая, что


Если u* в рассматриваемой системе существует, то для каждого исследователя представляет безусловный интерес ее структура.

Указанная задача была решена Г8] для описанной системы массового обслуживания как системы с разделением времени (последовательная реализация видов обслуживания).

При выполнении условий:

- эргодичности;

- конечности первых двух моментов деятельности обслуживания на любом виде обслуживания;

- положительной вероятности выхода требования из системы после выполнения конечного числа видов обслуживания;

было показано, что оптимальная функция переключения существует.

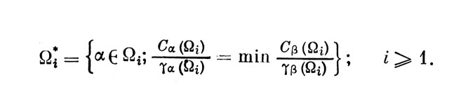
Для осуществления оптимального обслуживания u*∈U необходимо и достаточно, чтобы при 1≤i≤j≤s каждая фаза из Ω*j имела преимущество по отношению к любой фазе из Ω*i.

При этом считается, что фаза α∈Ω имеет преимущество (или более высокий приоритет) по отношению к фазе β∈Ω, если в любой момент начала обслуживания требования на виде β число требований на виде обслуживания α равно нулю.

Алгоритмически процедура включения описанного модельного блока в структуру комплексной имитационной модели сводится к разбиению на каждом шаге анализа множества заявок обслуживания, находящихся в очереди, на подмножества Ωi.

Здесь


Среднее суммарное время обслуживания γ(Ωi) TPe~ бования начиная с фазы i до первого выхода из множества фаз Ωi определяется, как решение матричного уравнения (I-Р)γ=β, где I - единичная матрица, Р - матрица исходных вероятностей Рαβ, β - вектор первых моментов времени обслуживания требований из Ωi.

Очередному обслуживанию в оптимальном случае подлежит требование в ближайшем подмножестве (в сторону понижения номеров) с ненулевой очередью.

Решение формальной модели рассматриваемой информационной системы позволяет в рамках более общей схемы имитационной модели минимизировать потери, которым может быть придан временной, экономический смысл или смысл эффективности действий группы диспетчеров по параметру организационных функций диспетчера. Записывая потери Сα как функционал от параметров и условий деятельности, а среднее время обслуживания γα как функцию структуры простых операций, правомерно ставить задачу поиска оптимальных операционных структур и условий их реализации в реальных АСУ.

предыдущая главасодержаниеследующая глава











© PSYCHOLOGYLIB.RU, 2001-2021
При копировании материалов проекта обязательно ставить активную ссылку на страницу источник:
http://psychologylib.ru/ 'Библиотека по психологии'

Рейтинг@Mail.ru

Поможем с курсовой, контрольной, дипломной
1500+ квалифицированных специалистов готовы вам помочь